Maximum and minimum tensile/compressive strain in beam

Click For Summary

Discussion Overview

The discussion revolves around understanding the maximum tensile and compressive strain in a beam as determined by bending moment diagrams. Participants explore the relationship between bending moments, strain distribution, and the effects of sagging and hogging moments on stress and strain in beams. The conversation includes technical aspects of beam bending, sign conventions, and the placement of strain gauges.

Discussion Character

  • Technical explanation
  • Conceptual clarification
  • Debate/contested
  • Homework-related

Main Points Raised

  • Some participants express confusion about how bending moments relate to maximum tensile and compressive strains, noting that sagging moments cause tensile stress at the bottom and compressive stress at the top, while hogging moments do the opposite.
  • There is a question regarding the relationship between the radius of curvature of the beam and the distribution of tensile strain over the cross-section.
  • Some participants highlight the inconsistency in the sign conventions used for bending moments, particularly regarding the labeling of sagging and hogging moments on diagrams.
  • One participant notes that strain gauges are placed only on the top of the beam, which raises questions about the values of tensile and compressive strains recorded.
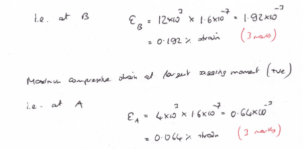
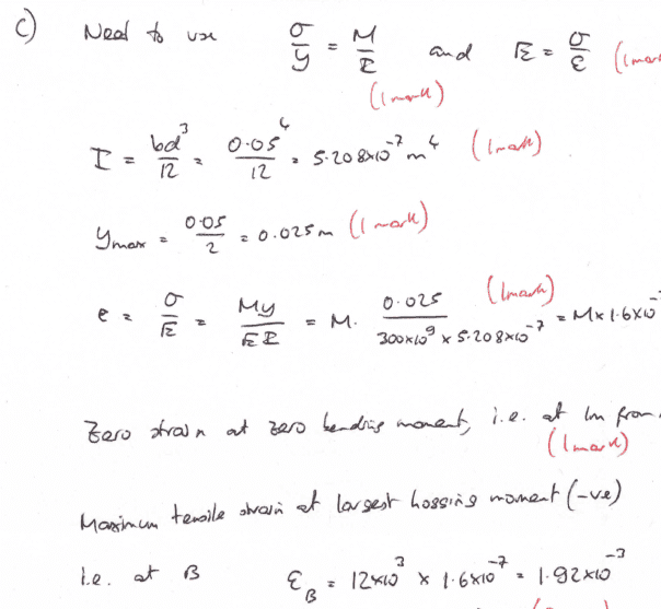
  • Another participant points out that maximum tensile stress occurs at the point of maximum hogging moment, while maximum compressive stress occurs at the point of maximum sagging moment.

Areas of Agreement / Disagreement

Participants express differing views on the interpretation of bending moments and their effects on strain. There is no consensus on the correct understanding of the sign conventions or the implications for strain measurements.

Contextual Notes

Participants mention different sign conventions for shear force and bending moment, which may lead to confusion in interpreting diagrams and calculations. The discussion also reflects uncertainty regarding the relationship between stress and strain at various points in the beam.

xJJx
Messages
56
Reaction score
2
Hi, I'm quite stuck on this past paper question and would really appreciate some help on it. Below I have attached the questions and solutions; it asks me to determine where the maximum tensile and compressive strain in the beam using the bending moment diagram (attached as separate figure below). I'm confused at how a bending moment can let you know where the max tensile/compressive stress/strain would be, i thought a sagging moment causes both tensile and compressive stress (tensile at bottom, compressive at top)? same with a hogging moment (tensile at top, compressive at bottom). Can anyone explain why they did this? thank you.
 

Attachments

  • beam diagram.PNG
    beam diagram.PNG
    21.3 KB · Views: 1,003
  • beam.PNG
    beam.PNG
    15.8 KB · Views: 1,026
  • part 1.PNG
    part 1.PNG
    56.7 KB · Views: 932
  • part 2.PNG
    part 2.PNG
    17.9 KB · Views: 920
Physics news on Phys.org
xJJx said:
how a bending moment can let you know where the max tensile/compressive stress/strain would be, i thought a sagging moment causes both tensile and compressive stress (tensile at bottom, compressive at top)? same with a hogging moment
Aren't sagging and hogging moments just special cases of a bending moment?
 
Please articulate your understanding of how the radius of curvature of the beam is related to the distribution of tensile strain over the cross section of a beam.
 
Chestermiller said:
Please articulate your understanding of how the radius of curvature of the beam is related to the distribution of tensile strain over the cross section of a beam.
I'm guessing the strain increases with R because the distance from the NA increases?
 
haruspex said:
Aren't sagging and hogging moments just special cases of a bending moment?
I'm not sure
 
Chestermiller said:
Please articulate your understanding of how the radius of curvature of the beam is related to the distribution of tensile strain over the cross section of a beam.
Also I don't get how the largest hogging moment is shown as positive on the diagram when hogging BM's are negative
main-qimg-c9d206627c9d0f560d07beff8414964e.png
 

Attachments

  • main-qimg-c9d206627c9d0f560d07beff8414964e.png
    main-qimg-c9d206627c9d0f560d07beff8414964e.png
    14.3 KB · Views: 3,834
xJJx said:
Also I don't get how the largest hogging moment is shown as positive on the diagram when hogging BM's are negative
View attachment 217854
You really just need to review your textbook sections on beam bending. We can't teach it all to you here. This is pretty straightforward stuff. If you have any specific questions on the material, we can help you with that.
 
Chestermiller said:
You really just need to review your textbook sections on beam bending. We can't teach it all to you here. This is pretty straightforward stuff. If you have any specific questions on the material, we can help you with that.
I have, I looked it up online too and I can't find anywhere that explains it. The main thing I'm confused by is the fact that my textbook and lecture notes say that a positive BM causes sagging and a negative BM causes hogging, yet when stating where each of them are on the BM diagram, the maximum negative BM on the diagram is labelled as 'sagging', which seems contradicting. Seems simple but the fact that i got this wrong caused my further calculations to be incorrect too.
 
xJJx said:
I have, I looked it up online too and I can't find anywhere that explains it. The main thing I'm confused by is the fact that my textbook and lecture notes say that a positive BM causes sagging and a negative BM causes hogging, yet when stating where each of them are on the BM diagram, the maximum negative BM on the diagram is labelled as 'sagging', which seems contradicting. Seems simple but the fact that i got this wrong caused my further calculations to be incorrect too.
There are different sign conventions used in different developments for the shear force and the bending moment. So you need to get an understanding of the particular sign convention being used in the material you are reading about at that time.
 
  • #10
Yes the book used a different signage convention for bending moment that is opposite the convention you are familiar with. The convention you used is the generally used one, that is to say, the area under the shear curve between chosen points along the beam represents the change in moment between those points. Clearly starting at the left, the area under the shear curve is positive, so the moment change should be positive, in agreement with the calculus dM/dx = V. Or another way of viewing this is that the slope of the moment diagram at a point is the shear at that point. You have to be aware that the author used a different convention, whereby sagging moments are assumed negative. I know this is a cause for confusion.
 
  • Like
Likes   Reactions: xJJx
  • #11
PhanthomJay said:
Yes the book used a different signage convention for bending moment that is opposite the convention you are familiar with. The convention you used is the generally used one, that is to say, the area under the shear curve between chosen points along the beam represents the change in moment between those points. Clearly starting at the left, the area under the shear curve is positive, so the moment change should be positive, in agreement with the calculus dM/dx = V. Or another way of viewing this is that the slope of the moment diagram at a point is the shear at that point. You have to be aware that the author used a different convention, whereby sagging moments are assumed negative. I know this is a cause for confusion.
Ahh, I see. I guess I'm safe with stating sagging moments as positive and hogging as negative. Do you know how he knew that the max compressive strain is at the largest sagging moment? i thought both sagging and hogging BM's cause both max compressive and max tensile stress (for sagging its max compressive at the top and max tensile at the bottom and viseversa for hogging). Thank you so much for replying to my question
 
  • #12
xJJx said:
Ahh, I see. I guess I'm safe with stating sagging moments as positive and hogging as negative. Do you know how he knew that the max compressive strain is at the largest sagging moment? i thought both sagging and hogging BM's cause both max compressive and max tensile stress (for sagging its max compressive at the top and max tensile at the bottom and viseversa for hogging). Thank you so much for replying to my question
you have missed sight of the fact that the strain gauges are placed on the top of the beam only, not on the top and bottom. The problem is asking you to determine the max compressive and tensile strains as recorded by the top strain gauges. Does this answer your question?
 
  • #13
PhanthomJay said:
you have missed sight of the fact that the strain gauges are placed on the top of the beam only, not on the top and bottom. The problem is asking you to determine the max compressive and tensile strains as recorded by the top strain gauges. Does this answer your question?
Not really, if the strain gauges are fitted at the top then shouldn't the value for either the max tensile or max compressive strain be 0? since at the top of the beam there's either only maximum tensile stress (and zero compressive stress) or max compressive (and zero tensile stress), depending on whether the beam is sagging or hogging? i don't get why both of the values are non-zero
 
  • #14
xJJx said:
Not really, if the strain gauges are fitted at the top then shouldn't the value for either the max tensile or max compressive strain be 0? since at the top of the beam there's either only maximum tensile stress (and zero compressive stress) or max compressive (and zero tensile stress), depending on whether the beam is sagging or hogging? i don't get why both of the values are non-zero
At the top outer fibers of the beam, maximum tensile stress occurs at the point of maximum hogging moment, and maximum compressive stress occurs at the point of maximum sagging moment, as you have noted. So what is the relationship between maximum stress and maximum strain? Strain is only 0 at the top fibers where the Moment (and stress) is 0.
 
  • Like
Likes   Reactions: xJJx
  • #15
PhanthomJay said:
At the top outer fibers of the beam, maximum tensile stress occurs at the point of maximum hogging moment, and maximum compressive stress occurs at the point of maximum sagging moment, as you have noted. So what is the relationship between maximum stress and maximum strain? Strain is only 0 at the top fibers where the Moment (and stress) is 0.
Just wanted to say thank you for replying to my threads! You’ve been a big help and i understand statics more now haha. Had my exam too and it went okay!
 
  • #16
Oh you are most welcome. Thank you for your courtesy. I am glad your exam went well.
 
  • Like
Likes   Reactions: xJJx

Similar threads

  • · Replies 1 ·
Replies
1
Views
1K
  • · Replies 3 ·
Replies
3
Views
2K
  • · Replies 6 ·
Replies
6
Views
850
  • · Replies 11 ·
Replies
11
Views
3K
Replies
1
Views
11K
  • · Replies 6 ·
Replies
6
Views
3K
  • · Replies 2 ·
Replies
2
Views
4K
  • · Replies 3 ·
Replies
3
Views
3K
  • · Replies 10 ·
Replies
10
Views
94K
Replies
7
Views
2K