Mechanics: Find the minimum initial velocity and angle of this projectile

Click For Summary

Homework Help Overview

The discussion revolves around a projectile motion problem, specifically finding the minimum initial velocity and angle required for a projectile to clear a wall located 12 meters away. Participants are analyzing equations related to projectile motion and exploring the implications of different initial conditions.

Discussion Character

  • Exploratory, Mathematical reasoning, Assumption checking

Approaches and Questions Raised

  • Participants discuss various attempts to derive the initial velocity and angle, with some questioning the validity of specific values and equations used. There are mentions of differentiation methods and the application of the quadratic formula to solve for parameters.

Discussion Status

The discussion is active, with participants providing insights and corrections to each other's approaches. Some have suggested alternative methods for differentiation and have pointed out potential errors in calculations. There is an ongoing exploration of different interpretations of the problem setup.

Contextual Notes

Participants are working under the constraints of homework rules, which may limit the amount of direct assistance they can provide. There are also indications of confusion regarding specific values and the application of formulas, which remain unresolved within the discussion.

so_gr_lo
Messages
69
Reaction score
10
Homework Statement
Mechanics maths assignment.

Q.
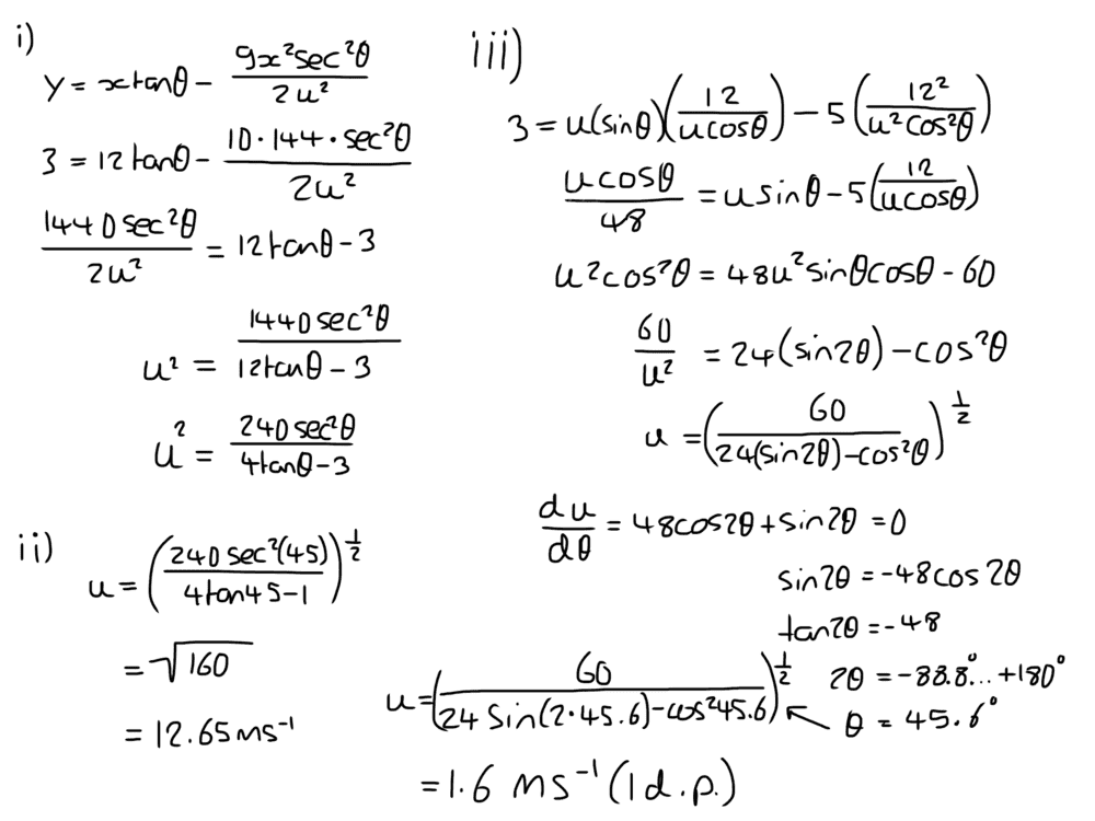
A child is attempting to throw a ball over a wall of height 5m that is 12 m away. The ball is thrown at a speed of u ms^-1 from a height of 2m, at an angle theta to the horizontal. Assume g = 10 ms^-2.

i)
If the ball just clears the wall use the Cartesian equation of trajectory to find an expression for u^2 in terms of tan(theta).

ii)
Find u when theta = 45°

iii)
By differentiating a multiple of u^2 or otherwise, find the minimum speed at which the ball can be thrown in order for the wall to be cleared, and the angle at which it must be thrown.

I think I have the correct answers for the first two. I followed the method in this link https://www.youtube.com/watch?v=cZiA4U4QRZg for the last, using differentiation to find the min velocity, but the angle comes out very close to 45° like (ii), but the velocity is much lower. Think it may be because the question in the link has ball starting on the ground, whereas in the question above it is 3m above the ground. I inputted y = 5-2 = 3 into the Cartesian equation, maybe this is wrong? Or I have rearranged and differentiated the equation wrong.

Thanks
Relevant Equations
Cartesian equation of trajectory:
y = xtanθ - (gx[SUP]2[/SUP]sec[SUP]2[/SUP]θ)/2u[SUP]2[/SUP]
Attempt at solution in attachment.
 

Attachments

  • 48BCF30B-5A33-40E7-A937-9AB34F74C332.png
    48BCF30B-5A33-40E7-A937-9AB34F74C332.png
    37.7 KB · Views: 310
Physics news on Phys.org
Is your final answer ##1.6m/s##?
 
Yes that is my final answer
 
so_gr_lo said:
Yes that is my final answer
That's going to clear a wall ##12m## away? That speed has a maximum range of about ##25cm##.
 
PS for (i) you dropped a factor of ##2## in your equation for ##u^2##. And it does say ##\tan \theta##, so I would convert the term in ##\sec^2 \theta##.
 
  • Like
Likes   Reactions: etotheipi
Exactly, that’s the problem with the answer. The value of u for (ii) was 12.6 ms^-1, at an angle of 45. 1.6 is way lower. I got this value by following the method in the link I included in the statement, which seems to work for them. I want to solve it by differentiation, as in the link, but don’t know where I‘m going wrong.
 
so_gr_lo said:
Exactly, that’s the problem with the answer. The value of u for (ii) was 12.6 ms^-1, at an angle of 45. 1.6 is way lower. I got this value by following the method in the link I included in the statement, which seems to work for them. I want to solve it by differentiation, as in the link, but don’t know where I‘m going wrong.
That looks right for (ii). Let me have a look at (iii).
 
so_gr_lo said:
Exactly, that’s the problem with the answer. The value of u for (ii) was 12.6 ms^-1, at an angle of 45. 1.6 is way lower. I got this value by following the method in the link I included in the statement, which seems to work for them. I want to solve it by differentiation, as in the link, but don’t know where I‘m going wrong.
That differentiation is a bit tricky. You must have made a mistake. One idea is to differentiate with respect to ##\tan \theta##. We have:
$$v^2 = \frac{gx^2(1 + \tan^2 \theta)}{2(x\tan \theta - y)} = \frac{gx^2(1 + \alpha^2)}{2(x\alpha - y)} = f(\alpha)$$
You need to minimise ##f(\alpha)##, where ##\alpha = \tan \theta##. Note that minimising ##v^2## is the same as minimising ##v##.

That should make the differentiation less tricky.
 
Using the quotient rule on your equation above with values inputted I get:

(4sec^2θtan^2θ - 2sec^2θtanθ -960sec^2θ)/(4tanθ-1)^2

Or if I keep α as α:

(4α^2 - 2α - 960) / (4α - 1)^2
 
  • #10
so_gr_lo said:
Using the quotient rule on your equation above with values inputted I get:

(4sec^2θtan^2θ - 2sec^2θtanθ -960sec^2θ)/(4tanθ-1)^2

Or if I keep α as α:

(4α^2 - 2α - 960) / (4α - 1)^2

Those numbers just get in the way. That ##960## can't be right.

PS ##\theta## should be a bit more than ##45°##, so ##\alpha \approx 1.3##.
 
  • #11
It looks like you managed to get the ##\frac{gx^2}{2}## mixed up in the derivative somehow. It's just a constant, so it should have stayed out front. If you want to be even cleverer, you need to minimise:
$$\frac{(1 + \alpha^2)}{(x\alpha - y)}$$
 
  • #12
Leaving out the values I get:

(xα - y)(2α) - (1 + α^2)(x) / (xα - y)^2 = 0

xα^2 - 2yα - x / (xα - y)^2 = 0

not sure how to simplify this, unless I can multiply both sides by denominator to get rid of it.
 
  • #13
so_gr_lo said:
Leaving out the values I get:

(xα - y)(2α) - (1 + α^2)(x) / (xα - y)^2 = 0

xα^2 - 2yα - x / (xα - y)^2 = 0

not sure how to simplify this, unless I can multiply both sides by denominator to get rid of it.
That's good. You want to set ##f'(\alpha) = 0## for the minimum. You only need to look at the numerator for that.
 
  • #14
Can quadratic formula be applied to this since there are 2 x expressions In the numerator a = c ?
 
  • #15
so_gr_lo said:
Can quadratic formula be applied to this since there are 2 x expressions In the numerator a = c ?
Yes, exactly. You have a quadratic in ##\alpha## with ##x, y## as constants.
 
  • #16
α = 2y ± sqrt((-2y)^2 -(4x)^2 / 2x

Does that look right
 
  • #17
Not quite. Watch your signs. ##\alpha = \tan \theta > 0##, so you have only one solution:
$$\alpha = \frac{y + \sqrt{x^2 + y^2}}{x}$$
You can plug that back into the formula for ##v^2## now. Things do simplify!
 
  • #18
I’ll do that now, but I can‘t seem to get the same result as you when I try applying the quadratic formula. How did you do it?
 
  • #19
so_gr_lo said:
I’ll do that now, but I can‘t seem to get the same result as you when I try applying the quadratic formula. How did you do it?
I used the quadratic formula correctly! We have:
$$x\alpha^2 - 2y \alpha - x = 0$$
So, ##a = x, \ b = -2y, \ c = -x##
$$\alpha = \frac{-b \pm \sqrt{b^2 - 4ac}}{2a} = \frac{2y \pm \sqrt{4y^2 +4x^2}}{2x} $$
 
  • #20
I almost got there, I have photographic evidence. Just got my signs mixed up.

α = tanθ =1.28...

u^2 = 240 + (1.28...)^2 / (4 x 1.28...) -1

u = 7.6 ms^-1

at θ = 52°

?
 
  • #21
so_gr_lo said:
I almost got there, I have photographic evidence. Just got my signs mixed up.

α = tanθ =1.28...

u^2 = 240 + (1.28...)^2 / (4 x 1.28...) -1

u = 7.6 ms^-1

at θ = 52°

?
##\theta## is correct, but I can see that ##7.6 m/s## isn't enough. It's got to travel ##12m## horiziontallly - that will take about ##2s##. And it's only going to be in the air for about ##1s## at that speed. Definitely less than ##1.5s##.

There is a nice formula for ##v^2## if you have the patience!

I can't help you plug numbers in correctly.
 
  • #22
PS here's how I would guestimate the answer.

With ##\theta## probably close to ##45°##, let's assume horizontal and vertical components are about the same.

If the horizontal component is ##10m/s##, then it will get to the wall in ##1.2s##. And, by then it is on the way down (with a vertical component of ##10m/s## it peaks after ##1s##). That can't be far off.

The total speed should, therefore, be about ##\sqrt{200} \approx 14m/s##.

So, you should be looking for an answer in that ballpark:
 
  • #23
I’m inputting the values into the equation for u^2 I derived at the beginning, but replacing sec^2θ:

u^2 = 240 + 240tan^2θ / 4tanθ -1

replacing tanθ with α

then I get u = 12.4 ms^-1
 
  • Like
Likes   Reactions: PeroK
  • #24
The easiest way to differentiate [tex]u^2 = K\frac{1 + \alpha^2}{x\alpha - y}[/tex] is to multiply by [itex]x\alpha -y[/itex] and then differentiate, to obtain [tex] 2u\frac{du}{d\alpha}(x\alpha - y) + u^2 x = 2K\alpha[/tex] and since [itex]\frac{du}{d\alpha} = 0[/itex] you have immediately [tex] u^2 = \frac{2K\alpha}{x}[/tex] which yields [tex] \alpha^2 - 2\alpha \frac{y}{x} - 1 = 0[/tex] which is readily solved for [itex]\alpha[/itex].
 
  • Like
Likes   Reactions: PeroK
  • #25
Just to wrap this up. We get:
$$\tan \theta = \frac{y + \sqrt{x^2 + y^2}}{x} = \frac{y + d}{x}, \ \ \ v^2 = g(y + \sqrt{x^2 + y^2}) = g(y + d)$$
Where ##d## is the total distance to the target.
 
  • #26
Got it. Thanks for the help.
 

Similar threads

  • · Replies 3 ·
Replies
3
Views
1K
  • · Replies 3 ·
Replies
3
Views
2K
Replies
8
Views
2K
Replies
3
Views
3K
Replies
5
Views
2K
  • · Replies 7 ·
Replies
7
Views
4K
Replies
40
Views
3K
Replies
5
Views
1K
Replies
3
Views
2K