Minimizing Isosceles triangle with a circle inscribed

Click For Summary

Discussion Overview

The discussion revolves around finding the smallest possible area of an isosceles triangle that can contain a circle of radius $r$ inscribed within it. Participants explore various mathematical approaches, including coordinate geometry and the relationship between the triangle's dimensions and the inscribed circle.

Discussion Character

  • Exploratory
  • Mathematical reasoning
  • Technical explanation
  • Debate/contested

Main Points Raised

  • One participant seeks hints on the relationship between the inscribed circle and the triangle, considering similar triangles as a potential approach.
  • Another participant describes using coordinate geometry to define the triangle and its area as a function of its dimensions, proposing a method to find constraints based on the intersection of a line and the circle.
  • Participants discuss the equation of the line forming one side of the triangle and confirm its correctness through exchanges.
  • There is a focus on deriving the equation of the circle and the upper half of the circle as a function, with some participants expressing uncertainty about the steps involved.
  • Several participants engage in algebraic manipulations to derive relationships between the triangle's height and base, discussing the implications of the discriminant being zero for the quadratic formed.
  • One participant expresses difficulty in isolating variables and discusses the implications of dividing by variables in the context of potential missing solutions.
  • There is a mention of optimizing the area function and exploring critical values, with one participant suggesting a simplification by optimizing the square of the area function.
  • Another participant references an external solution to the problem, indicating a different method was used, and requests clarification on that approach.
  • Follow-up questions are raised regarding the significance of critical values and the type of triangle involved in the external solution.

Areas of Agreement / Disagreement

Participants generally engage in a collaborative exploration of the problem, with some expressing uncertainty and seeking confirmation on various steps. There is no clear consensus on the best approach or final answer, as multiple methods and interpretations are discussed.

Contextual Notes

Participants note the importance of the discriminant in determining the relationship between the triangle's dimensions and the inscribed circle, as well as the potential for missing solutions when dividing by variables. The discussion includes unresolved algebraic steps and varying interpretations of the problem.

Who May Find This Useful

Readers interested in mathematical optimization, geometry, and the relationships between shapes and inscribed figures may find this discussion relevant.

  • #31
Rido12 said:
So how would we compute the maximum area of the triangle?

If $b$ is unbounded, then so is the area of the triangle. It has no real maximum, we can make it as large as we want. :D
 
Physics news on Phys.org
  • #32
I found another solution to this problem, but very similar.

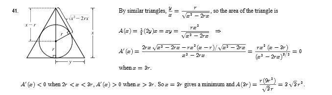
View attachment 3007

Can someone explain how that's similar triangles? I can kind-of visualize it if you flip it...
 

Attachments

  • inscribedcircle.JPG
    inscribedcircle.JPG
    16.1 KB · Views: 132
  • #33
They are both right triangles, and they share an acute angle, so we know they have the same 3 internal angles, and so they must be similar. :D
 
  • #34
Rido12 said:
I found another solution to this problem, but very similar.

View attachment 3007

Can someone explain how that's similar triangles? I can kind-of visualize it if you flip it...

Yep. Flip it and you can visualize it! (Mmm)
It means that the smaller triangle can be scaled to the bigger triangle (after flipping).
And that means that the ratio of the sides next to the right angle in both triangles is the same.
In the big triangle the ratio is $y:x$, while in the small triangle the ratio is $r : \sqrt{x^2-2rx}$.Alternatively, an equilateral triangle will have an extreme area due to its symmetry. Break the symmetry in any direction and the area will change.
Since you can also make the triangle as big as you want, by choosing a basis that is either large enough, or small enough, it follows that the equilateral triangle will have minimum area. (Nerd)
 
  • #35
I see now that the acute angle in both right triangles are the same...but it wasn't immediately obvious. I had to work out (arbitrary) angles in my head. Anyway to quickly notice that they're similar without working out angles? I know the clue is that they're both right triangles.
 
  • #36
Rido12 said:
I see now that the acute angle in both right triangles are the same...but it wasn't immediately obvious. I had to work out (arbitrary) angles in my head. Anyway to quickly notice that they're similar without working out angles? I know the clue is that they're both right triangles.

Go to the top vertex of the outer isosceles triangle, and then look at the angle up there to the right of the bisector. Do you see that both triangles share this angle? :D
 
  • #37
Rido12 said:
I know the clue is that they're both right triangles.

You need 2 clues: 2 angles that are the same.
The first is that they both have a right angle.
The other is that they have an angle in common. (Whew)
 
  • #38
MarkFL said:
Go to the top vertex of the outer isosceles triangle, and then look at the angle up there to the right of the bisector. Do you see that both triangles share this angle? :D

I think I know what you're saying, but not really. "and then look at the angle up there to the right of the bisector." -where does that refer?

I see what ILS is saying...both triangles share the same top angle, and the right angle, meaning that the 3rd angle must be the same! :D
 
  • #39
That's what I'm saying as well. :D
 
  • #40
MarkFL said:
That's what I'm saying as well. :D

Did you really need the bisector of one of the interior angles, identifying the meridian, which is also the altitude, and the orthocenter, to explain how the other interior angles relate between the non-oblique triangles? (Rofl)
 
  • #41
I like Serena said:
Did you really need the bisector of one of the interior angles, identifying the meridian, which is also the altitude, and the orthocenter, to explain how the other interior angles relate between the non-oblique triangles? (Rofl)

Explain in english? I really want to understand those terms. (Nerd)
 
  • #42
Rido12 said:
Explain in english? I really want to understand those terms. (Nerd)

That is English!
I'm only looking them up because English isn't my native language.
In my language I would refer to the bisectrice, zwaartelijn, hoogtelijn, respectively middelloodlijn. But yeah, then I would have to explain in English. (Giggle)
 
  • #43
It was a joke, :D. But I want to understand what you wrote. :eek:

I like your new title, ILS, but I do think it should be bolded in color. Btw, Mark, you're the best ADMIN EVER :D :D :D
 
  • #44
I like Serena said:
Did you really need the bisector of one of the interior angles, identifying the meridian, which is also the altitude, and the orthocenter, to explain how the other interior angles relate between the non-oblique triangles? (Rofl)

Yes...yes I did. (Poolparty)
 
  • #45
Rido12 said:
It was a joke, :D. But I want to understand what you wrote. :eek:

It's merely a set of definitions that applies to triangles.
If you don't know them yet, you're likely to learn them soon. ;)

A bisector is the line that divides an angle in 2 equal parts.
An altitude of an angle is the line that is perpendicular to the opposing side.
A meridian divides the opposing side into 2 equal parts.
An orthocenter is a perpendicular line that divides a side into 2 equal parts.

One of the amazing facts of geometry is that each of those concepts identify a unique point in a triangle.
That is, the 3 bisectors of a triangle meet in a single point. (Nerd)
 
  • #46
Rido12 said:
I like your new title, ILS, but I do think it should be bolded in color. Btw, Mark, you're the best ADMIN EVER :D :D :D

I can't. Only admins can. (Doh)
 
  • #47
That's kind of weird. Bisector is what divides an angle in two, whereas the perpendicular bisector is what divides a line in two, while being perpendicular to the line. One refers to the angle being cut in two, one refers to the line being cut in two. I always thought bisector was what cut a line segment in two...:(
 
  • #48
Rido12 said:
That's kind of weird. Bisector is what divides an angle in two, whereas the perpendicular bisector is what divides a line in two, while being perpendicular to the line. One refers to the angle being cut in two, one refers to the line being cut in two. I always thought bisector was what cut a line segment in two...:(

From latin bi means two and sect means divide.
To bisect merely means to divide something into 2 equal parts. (Nerd)

In a triangle that is either the bisector of an angle, or the orthocenter or bisector of a side.
In numerical mathematics the bisection algorithm is an algorithm to find the zeroes of a function by dividing the interval surrounding a zero repeatedly into 2 equal size intervals. (Angel)
 
  • #49
I may not be using the term correctly, but when a plane figure has bilateral symmetry, I will refer to the axis of symmetry as that object's bisector. :D
 
  • #50
Thanks! I think I'm starting to remember this now...finding the circumcenter, orthocenter, or centroid of a triangle from grade 10.
 
  • #51
Rido12 said:
Thanks! I think I'm starting to remember this now...finding the circumcenter, orthocenter, or centroid of a triangle from grade 10.

Ah! You did learn! You just conveniently forgot about it, presumably being bored by a teacher that spoke too fast, or with an accent, or some such (or you were just joking). (Smirk)
 
  • #52
I like Serena said:
Ah! You did learn! You just conveniently forgot about it, presumably being bored by a teacher that spoke too fast, or with an accent, or some such. (Smirk)

Wow...I am rolling here! (Rofl)(Sweating)(Clapping)
 

Similar threads

Replies
6
Views
5K
  • · Replies 13 ·
Replies
13
Views
4K
  • · Replies 1 ·
Replies
1
Views
2K
  • · Replies 11 ·
Replies
11
Views
2K
  • · Replies 9 ·
Replies
9
Views
2K
Replies
4
Views
4K
  • · Replies 1 ·
Replies
1
Views
2K
  • · Replies 2 ·
Replies
2
Views
2K
  • · Replies 5 ·
Replies
5
Views
3K