Modular Forms, Dimension, Valence Formula

Click For Summary

Homework Help Overview

The discussion revolves around determining the dimension of the modular form space ##M_{24}##, with participants exploring the implications of modular arithmetic and equivalence classes in this context.

Discussion Character

  • Conceptual clarification, Assumption checking, Mathematical reasoning

Approaches and Questions Raised

  • Participants express confusion regarding the meaning of "(mod 12)" and its application to the definitions of dimensions for modular forms. There is a debate about whether it pertains to the equivalence class notation or the specific values of ##k##. Some participants attempt to derive dimensions based on different interpretations of the definitions provided.

Discussion Status

The discussion is ongoing, with participants actively questioning the definitions and their implications. Some guidance has been offered regarding the interpretation of square brackets as denoting equivalence classes, but uncertainty remains about how this applies to specific cases like ##M_{28}## and ##M_{12}##.

Contextual Notes

Participants are grappling with the definitions and properties of modular forms, particularly in relation to modular arithmetic and the notation used in the problem statement. There is a lack of consensus on the interpretation of the notation and its consequences for the dimensions being calculated.

binbagsss
Messages
1,291
Reaction score
12

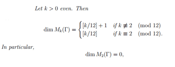
Homework Statement



What is the dimension of ##M_{24}##?

Homework Equations



attached
modweightdim.png

The Attempt at a Solution



[/B]
I am confused what the (mod 12) is referring to- is it referring to the ##[k/12]## where the square brackets denote an equivalent class and the ## k \equiv 2## / ##k \notequiv 2## or just the ##[k/12]##?

I am confused because I thought ##k \equiv 2## (mod 12) only when ##k=24##, so for the dimension ##M_2## we would need to look at the top definition, however clearly the bottom has been used, which makes me think that the '(mod ##12##)' is only referring to the square brackets?

In which case for ##M_{24}## I need to look at the top line and conclude ## dim M_{24}=3##, however if (mod 12) is referring to both then I need to look at the bottom line and conclude ##dim M_{24}=2##, however in this case it makes no sense how we have got ##dim M_2=0 ##

Thanks .
 
Physics news on Phys.org
binbagsss said:

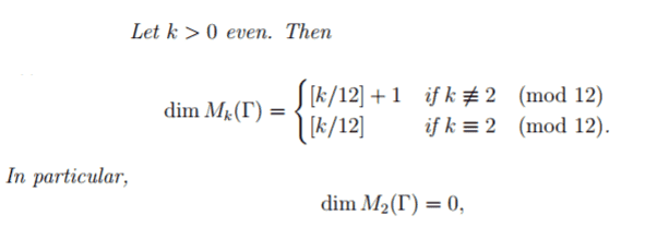
Homework Statement



What is the dimension of ##M_{24}##?

Homework Equations



attachedView attachment 195345

The Attempt at a Solution



[/B]
I am confused what the (mod 12) is referring to- is it referring to the ##[k/12]## where the square brackets denote an equivalent class and the ## k \equiv 2## / ##k \notequiv 2## or just the ##[k/12]##?

I am confused because I thought ##k \equiv 2## (mod 12) only when ##k=24##, so for the dimension ##M_2## we would need to look at the top definition, however clearly the bottom has been used, which makes me think that the '(mod ##12##)' is only referring to the square brackets?

In which case for ##M_{24}## I need to look at the top line and conclude ## dim M_{24}=3##, however if (mod 12) is referring to both then I need to look at the bottom line and conclude ##dim M_{24}=2##, however in this case it makes no sense how we have got ##dim M_2=0 ##

Thanks .
##24 \equiv 0 \operatorname{mod}12##
##2 \equiv 2 \operatorname{mod}12##
 
  • Like
Likes   Reactions: binbagsss
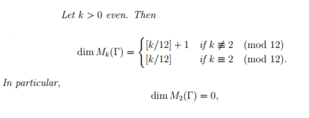
fresh_42 said:
##2 \equiv 2 \operatorname{mod}12##

So
##4 \equiv 4 \operatorname{mod}12##

So from the definition above ##dim M_{4} =[k/12]=[4/12]##;

how is ##[4/12]## 1? Isn't this zero too? what do the square brackets denote.

E.g ##14\equiv 2## (mod 12) so am I using the original ##k## : ##[14/12]## or ##[2/12]##?
 
binbagsss said:
S

E.g ##14\equiv 2## (mod 12) so am I using the original ##k## : ##[14/12]## or ##[2/12]##?

Oh it doesn't matter, [ ] denote equivalent classes, so it's 'the remainder of the division' which is ##2## in both of these cases?

Can I just test my understanding here- is ##dim M_{28}=[k/12]+1=5##?
 
Last edited:
binbagsss said:
Oh it doesn't matter, [ ] denote equivalent classes, so it's 'the remainder of the division' which is ##2## in both of these cases?

Can I just test my understanding here- is ##dim M_{28}=[k/12]+1=5##?

No I'm lost ##dim M_{12}=2## but I am getting:

##12 \equiv 0## mod 12, so I'm looking at ##[k/12]+1##, if these [ ] denote equivalent classes a number divisible by 12 is represented by the element ##0## so I get ##0+1=1##...

Unless these [ ] square brackets denote taking the integer or something? what do these square brackets mean? thanks.
 
binbagsss said:
No I'm lost ##dim M_{12}=2## but I am getting:

##12 \equiv 0## mod 12, so I'm looking at ##[k/12]+1##, if these [ ] denote equivalent classes a number divisible by 12 is represented by the element ##0## so I get ##0+1=1##...

Unless these [ ] square brackets denote taking the integer or something? what do these square brackets mean? thanks.

The brackets are the floor function. The greatest integer less than or equal to the quotient.
 

Similar threads

  • · Replies 12 ·
Replies
12
Views
2K
  • · Replies 4 ·
Replies
4
Views
3K
  • · Replies 6 ·
Replies
6
Views
2K
  • · Replies 25 ·
Replies
25
Views
4K
  • · Replies 1 ·
Replies
1
Views
2K
  • · Replies 3 ·
Replies
3
Views
2K
  • · Replies 7 ·
Replies
7
Views
6K
  • · Replies 2 ·
Replies
2
Views
5K
  • · Replies 5 ·
Replies
5
Views
2K
  • · Replies 5 ·
Replies
5
Views
4K