Motion of two balls connected by a rod

  • Context: Engineering 
  • Thread starter Thread starter mingyz0403
  • Start date Start date
  • Tags Tags
    Balls Motion Rod
Click For Summary
SUMMARY

The discussion focuses on the motion of two balls connected by a massless rod after a pin is removed, resulting in Ball B moving with constant velocity and zero radial acceleration. The key conclusion is that the rod remains in equilibrium due to its massless nature, which implies no external forces act on Ball B until it reaches point C. The angular momentum of the system remains constant as Ball B moves tangentially, and the relationship between the radial displacement and angular momentum is defined by the equation |r| sinΘ = |r0|.

PREREQUISITES
  • Understanding of Newton's laws of motion
  • Familiarity with angular momentum concepts
  • Knowledge of massless rod dynamics
  • Basic principles of rotational motion
NEXT STEPS
  • Study the principles of angular momentum conservation in mechanical systems
  • Explore the dynamics of massless rods in physics
  • Learn about the effects of external forces on motion in two-dimensional systems
  • Investigate the relationship between radial and tangential acceleration in circular motion
USEFUL FOR

This discussion is beneficial for physics students, mechanical engineers, and anyone studying dynamics and motion in mechanical systems.

mingyz0403
Messages
12
Reaction score
1
Homework Statement
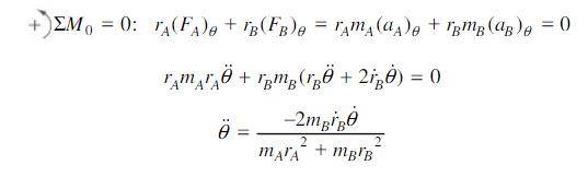
A 1-lb ball A and a 2-lb ball B are mounted on a horizontal rod whichrotates freely about a vertical shaft. The balls are held in the positionsshown by pins. The pin holding B is suddenly removed and the ballmoves to position C as the rod rotates. Neglecting friction and the massof the rod and knowing that the initial speed of A is 8 A v = 8 ft/s, determine the radial and transverse components of the acceleration of ball B immediately after the pin is removed
Relevant Equations
F=MA
Since there is no friction, there is no radial force acting on Ball B after the pin is remove. Therefore the radial acceleration of Ball B is zero. I don't know how to determine the transverse components of the acceleration of Ball B. I looked at the textbook solution. It takes moment about the shaft to find the transverse components of the acceleration of ball B. The solution states that " Since the rod is massless, it must be in equilibrium. " Why the rod is massless means it is in equilibrium?
 

Attachments

  • 1.jpg
    1.jpg
    41 KB · Views: 345
  • 2.jpg
    2.jpg
    8.4 KB · Views: 329
Physics news on Phys.org
There is no radial force on ball B (until ball B reaches the end at C). Is there any force at all during this time?

Since there is no external torque on the system, what can you say about the angular speed of the rod and ball A after the pin is pulled and B is free to move? What is the angular speed of the rod and A after B hits the end at C? [If no force acts on B during this time, what is B's velocity and what is its angular momentum? Hint: during this time, sinΘ < 1 in L = r x mv = |r|mvsinΘ but |r| is not constant either ]

AM
 
Last edited:
  • Like
Likes   Reactions: collinsmark
Just to add a bit more of a hint: B moves at constant velocity after the pin is pulled so it moves tangentially from the point of release until it strikes the stop a C. Its angular momentum with respect to the central point does not change because the cross product r x v remains the same: |r | = |r0|/sinΘ so |r | sinΘ = |r0| where r0 is the radial displacement vector when the pin is pulled.

AM
 

Similar threads

  • · Replies 2 ·
Replies
2
Views
2K
  • · Replies 3 ·
Replies
3
Views
3K
  • · Replies 71 ·
3
Replies
71
Views
5K
  • · Replies 1 ·
Replies
1
Views
2K
  • · Replies 10 ·
Replies
10
Views
5K
  • · Replies 9 ·
Replies
9
Views
2K
Replies
3
Views
9K
  • · Replies 23 ·
Replies
23
Views
3K
Replies
1
Views
5K
Replies
12
Views
2K