opus
Gold Member
- 717
- 131
Homework Statement
A car and motorcycle are racing along a runway. The motorcycle first takes the lead because it's constant acceleration ##a_m=8.40~\left(\frac{m}{s}\right)^2## is greater than the car's constant acceleration ##a_c=5.60~\left(\frac{m}{s}\right)^2##.
But it soon loses to the car because it reaches its greatest speed ##v_m=58.8~\frac{m}{s}## before the car reaches its greatest speed ##v_c=106~\frac{m}{s}##
How long does it take for the car to reach the motorcycle?
Homework Equations
##v=v_0+at##
##x-x_0=v_0t+\frac{1}{2}at^2##
The Attempt at a Solution
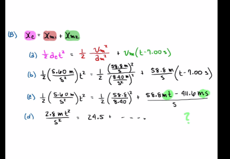
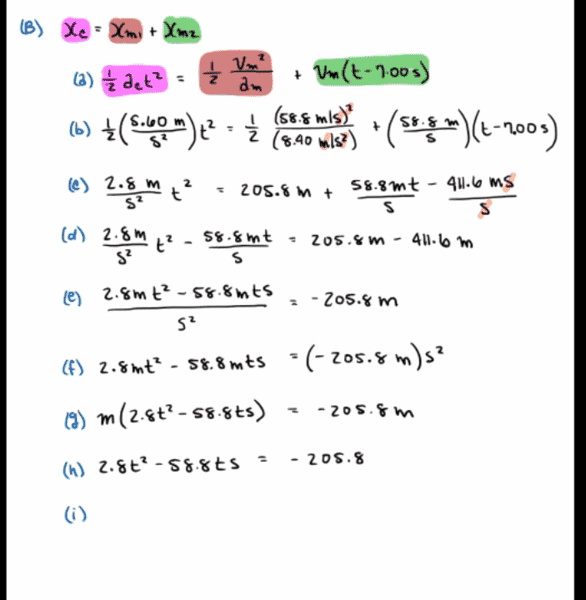
This is a problem out of the text with step by step directions. What was done was form an equation that relates the positions of the car and motorcycle: ##x_c=x_{m1}+x_{m2}## where the m1 is when the motorcycle is accelerating, and m2 is once it has reached its max speed and the acceleration is zero.
The equations were derived as follows:
##x_c=\frac{1}{2}a_ct^2##
##x_{m1}=\frac{1}{2}\frac{v_m^2}{a_m}##
##x_{m2}=v_m\left(t-7.00sec\right)##
Thus we have
$$x_c=x_{m1}+x_{m2}$$
$$\frac{1}{2}a_ct^2=\frac{1}{2}\frac{v_m^2}{a_m}+v_m\left(t-7.00sec\right)$$
Now the text says that this is a quadratic, and obviously we need to solve for ##t##.
Now if you'll look at my attached image, you can see what a disaster I am making of this. We want ##t##, but there are also seconds in the equations. I'd imagine the meters should cancel.
Please help

Attachments
Last edited: