Multi-stage Vs. single stage rockets

  • Thread starter Thread starter Januz Johansen
  • Start date Start date
  • Tags Tags
    Rockets
Click For Summary

Homework Help Overview

The discussion revolves around the advantages of multi-stage rockets compared to single-stage rockets, focusing on the mathematical relationships and equations that describe their performance. Participants are exploring how to effectively demonstrate these advantages through calculations and comparisons of mass and fuel usage.

Discussion Character

  • Exploratory, Mathematical reasoning, Assumption checking

Approaches and Questions Raised

  • Participants discuss the need to relate the equations of single-stage and multi-stage rockets, questioning how to express their mass and fuel relationships. There are attempts to clarify the definitions of variables and the implications of remaining fuel in the first stage of a multi-stage rocket.

Discussion Status

Several participants have provided hints and guidance on how to approach the algebraic comparisons, emphasizing the importance of using consistent terms across the equations. There is an ongoing exploration of the implications of different variables and the structure of the rockets, with some participants expressing uncertainty about specific algebraic manipulations.

Contextual Notes

Participants are working under the constraints of homework guidelines, which may limit the types of solutions or methods they can employ. There is a focus on ensuring that all terms are properly accounted for in the algebraic expressions, particularly regarding the mass of the structure and fuel in both types of rockets.

Januz Johansen
Messages
34
Reaction score
1

Homework Statement


Hello all
I have to show why there advantageously can be employed multi-stage rockets

Homework Equations


How do i do this best, a graph/plot?

The Attempt at a Solution


i have done some calculations for a single stage rocket and a multistage rocket, but how can i show this more over all?
upload_2016-11-27_16-58-1.png
 
Physics news on Phys.org
It is very difficult to follow your equations. If you would like to make a more general statement use variables rather than numbers. Also define what those variables mean.
 
Cutter Ketch said:
It is very difficult to follow your equations. If you would like to make a more general statement use variables rather than numbers. Also define what those variables mean.

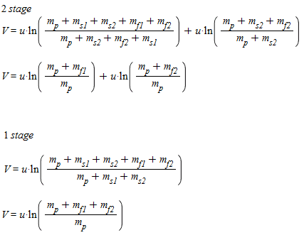
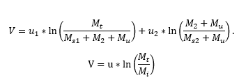
Hello i have the equation with variables:
upload_2016-11-27_17-25-53.png

upload_2016-11-27_17-21-12.png

Should i explain this mathematicaly, and if so can you give a little hint? :)
Thanks
 

Attachments

  • upload_2016-11-27_17-21-8.png
    upload_2016-11-27_17-21-8.png
    1.8 KB · Views: 652
  • upload_2016-11-27_17-23-44.png
    upload_2016-11-27_17-23-44.png
    2.2 KB · Views: 695
Now you need to relate the two situations. What if the single stage and the two stage have the same total mass. Also say they have the same payload mass and fuel mass. The part that is missing is the mass of the structure. Say they have the same structure mass, but with the two stage rocket you get to throw away a large fraction of that for the second stage. Can you show the final v is greater in the two stage?
 
Ps. In your first stage you do not burn all the fuel, so some of the fuel mass should appear in the denominator in the log.
 
Cutter Ketch said:
Ps. In your first stage you do not burn all the fuel, so some of the fuel mass should appear in the denominator in the log.
Hello
i have done it with structure mass and so, I am not sure on how to relate the two situations, if they have the same payloat its mp =mp and same fuel mass; mf=mf1+mf2 - and the same structure mass then its ms=ms1+ms2?
upload_2016-11-27_18-9-54.png


and why is there fuel left in the first stage?
 
The fuel left after the first stage is the fuel carried in the second stage. The second stage has to have fuel!

To relate them write the single stage eqn using the same terms assuming things are equal because you want to compare similar rockets.

Same amount of structure: not ms, but ms1 + ms2,
Same amount of fuel, so not mf, but mf1+mf2

Now with both equations in the same terms can you prove algebraicly that the two stage velocity is greater than the single stage?
 
Cutter Ketch said:
The fuel left after the first stage is the fuel carried in the second stage. The second stage has to have fuel!

To relate them write the single stage eqn using the same terms assuming things are equal because you want to compare similar rockets.

Same amount of structure: not ms, but ms1 + ms2,
Same amount of fuel, so not mf, but mf1+mf2

Now with both equations in the same terms can you prove algebraicly that the two stage velocity is greater than the single stage?

Mann you are so great :D

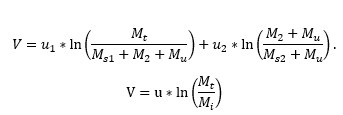
but I am a bit unsure, because, in the 2. stage rocket the u, could be different in each stage, so
upload_2016-11-27_20-5-48.png

i have taken the part that goes out with each other, and i can see it must be larger.
 
Januz Johansen said:
Mann you are so great :D

but I am a bit unsure, because, in the 2. stage rocket the u, could be different in each stage, soView attachment 109531
i have taken the part that goes out with each other, and i can see it must be larger.

What you wrote in the first line in each kind of rocket is correct. I think the math leading to the second line in each case is flawed. That's ok. You only need the first line of each. Now put them on a line together with ">?" between them and do algebra until you prove it's true. You should be able to prove it's true as long as ms1 > 0. (And to be sure I'm not asking the impossible I did work it out myself)
 
  • #10
Cutter Ketch said:
What you wrote in the first line in each kind of rocket is correct. I think the math leading to the second line in each case is flawed. That's ok. You only need the first line of each. Now put them on a line together with ">?" between them and do algebra until you prove it's true. You should be able to prove it's true as long as ms1 > 0. (And to be sure I'm not asking the impossible I did work it out myself)

ok, just so I am not going on a wild goose chase, i put the equations like so:
upload_2016-11-27_21-5-31.png

and work it out for ms1 > 0
right?
and ofc again thank you for helping
 
  • #11
Just do algebra. The inequality will get simpler and simpler until all you are left with is ms1>0. So if ms1>0 then the inequality was true from the top.
 
  • #12
Cutter Ketch said:
Just do algebra. The inequality will get simpler and simpler until all you are left with is ms1>0. So if ms1>0 then the inequality was true from the top.
okay thank you, i don't know why i think it is more difficult then it is... you know rockets... no, but really thank you for your help and your patience, i really appreciate it. i will go do some algebra :D
 
  • #13
Hint: the u cancel. Then exponentiate both sides and remember exp(a+b) = exp(a) exp(b)
 
  • #14
Cutter Ketch said:
Hint: the u cancel. Then exponentiate both sides and remember exp(a+b) = exp(a) exp(b)
can you give a little hint, I am having som trouble with the u, i always end up with a u, the u cancel a u on the other side, but what about the last u? because if the 2 u's are different, that could be a possibility in a multi stage rocket right?
 
  • #15
Januz Johansen said:
can you give a little hint, I am having som trouble with the u, i always end up with a u, the u cancel a u on the other side, but what about the last u? because if the 2 u's are different, that could be a possibility in a multi stage rocket right?

Well, you have to do legal algebra. If you don't know algebra then this isn't going to be easy. All terms have a u. When you divide both sides of the equation by u you must divide all terms by u according to the distributive property. You shouldn't wind up with a second u. Please think carefully about doing proper algebra.
 
  • #16
Cutter Ketch said:
Well, you have to do legal algebra. If you don't know algebra then this isn't going to be easy. All terms have a u. When you divide both sides of the equation by u you must divide all terms by u according to the distributive property. You shouldn't wind up with a second u. Please think carefully about doing proper algebra.
oh yes i see now :D much easier, now i get the correct solution, totally forgot about dividing all the terms :D
Thank you so much you were a great help :D
 

Similar threads

  • · Replies 2 ·
Replies
2
Views
1K
  • · Replies 6 ·
Replies
6
Views
3K
Replies
4
Views
2K
  • · Replies 47 ·
2
Replies
47
Views
4K
  • · Replies 12 ·
Replies
12
Views
3K
  • · Replies 10 ·
Replies
10
Views
10K
  • · Replies 11 ·
Replies
11
Views
2K
  • · Replies 4 ·
Replies
4
Views
3K
  • · Replies 3 ·
Replies
3
Views
12K
  • · Replies 3 ·
Replies
3
Views
2K