Natural Frequency & damping coefficient from transfer function

Click For Summary
SUMMARY

The discussion centers on deriving the natural frequency (w0) and damping coefficient (ζ) from the transfer function of a buck converter. The original poster (OP) struggles with algebraic manipulation to find w0 that satisfies both the numerator and the third term in the denominator. A suggestion is made to split the transfer function into components to simplify the analysis. The conversation highlights the challenges faced when the transfer function does not conform to standard forms typically found in textbooks.

PREREQUISITES
  • Understanding of transfer functions in control systems
  • Familiarity with buck converters and their dynamics
  • Basic algebraic manipulation techniques
  • Knowledge of natural frequency and damping ratio concepts
NEXT STEPS
  • Study the derivation of natural frequency and damping ratio from standard transfer functions
  • Learn about buck converter dynamics and their transfer function representation
  • Explore algebraic techniques for simplifying complex transfer functions
  • Investigate software tools for analyzing control systems, such as MATLAB or Python's control library
USEFUL FOR

Electrical engineers, control system analysts, and students studying power electronics who need to understand the dynamics of buck converters and their transfer functions.

Brianrofl
Messages
21
Reaction score
0

Homework Statement



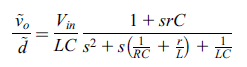
Here is the transfer function of a buck converter I derived:

fasfasf.PNG


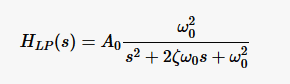
What I need to do next is obtain equations for w0 and ζ. I know how to do this for equations that follow the general form:

sfasfsaf.PNG


But in this case I just can't figure out exactly how to do it. How do I find a value for w0 that satisfies both the 3rd term in the denominator and the numerator?

The Attempt at a Solution



I've tried a bit of algebraic manipulation using different values for w0 but without much luck. I know -- I hate to ask for help without showing any of my own work -- but I'd actually rather just be pointed into the right direction with this. It's something I've never really been able to do, and google searches on the subject were always useless because the transfer functions examples start with follow the generic form shown above.

Thanks.
 
Physics news on Phys.org
Maybe you'll have to split the transfer function. Like 1 + sRC as (1/Den) + (sRC/Den) and then proceed. Just a guess.
 
Good guess jaus!
As for the OP: what is "d"?
 

Similar threads

  • · Replies 2 ·
Replies
2
Views
2K
  • · Replies 6 ·
Replies
6
Views
4K
  • · Replies 3 ·
Replies
3
Views
3K
  • · Replies 3 ·
Replies
3
Views
3K
  • · Replies 6 ·
Replies
6
Views
3K
  • · Replies 4 ·
Replies
4
Views
2K
  • · Replies 16 ·
Replies
16
Views
2K
  • · Replies 2 ·
Replies
2
Views
4K
  • · Replies 8 ·
Replies
8
Views
2K
Replies
1
Views
2K