Understanding a PLL: Determine H(s) from Transfer Functions

  • Thread starter Thread starter anon6912
  • Start date Start date
Click For Summary
SUMMARY

This discussion focuses on determining the transfer function H(s) for a Phase-Locked Loop (PLL) implementation. The user references a block diagram indicative of a synchronous frame-PLL, where the loop filter is identified as a Proportional-Integral (PI) regulator. For further insights, the discussion suggests consulting the paper "Operation of a phase locked loop system under distorted utility conditions" by V. Kaura and V. Blasko, which provides additional context on PLL performance under challenging input conditions.

PREREQUISITES
  • Understanding of Phase-Locked Loop (PLL) systems
  • Knowledge of transfer functions in control systems
  • Familiarity with Proportional-Integral (PI) regulators
  • Basic concepts of synchronous frame-PLL architecture
NEXT STEPS
  • Study the design and implementation of Proportional-Integral (PI) regulators in control systems
  • Research the mathematical derivation of transfer functions in PLL applications
  • Explore the effects of distorted inputs on PLL performance
  • Read "Operation of a phase locked loop system under distorted utility conditions" by V. Kaura and V. Blasko for advanced insights
USEFUL FOR

Engineers and researchers working on control systems, specifically those involved in the design and analysis of Phase-Locked Loops (PLLs) and their applications in signal processing.

anon6912
Messages
21
Reaction score
3
I'm trying to implement a basic PLL. The diagram is given as follows:
ufU8lrC.png

ufU8lrC

ufU8lrC

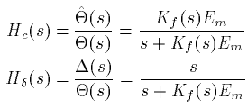
Where the transfer functions are given as follows:
o0BHksR.png

o0BHksR


To implement the PLL I need it to be as follows:
gK0RkWm.png

gK0RkWm


How do I determine H(s) from the transfer functions that are given?

Thank you for your help
 
  • Like
Likes   Reactions: jim mcnamara
Engineering news on Phys.org
Based on your 3rd picture, the block diagram reminds me of the so-called synchronous frame-PLL shown below (see attached pdf for more details). Here the loop filter is basically a PI regulator.

Se also "Operation of a phase locked loop system under distorted utility conditions" by V. Kaura and V. Blasko if you are interested in PLL under distorted inputs.
upload_2017-9-25_16-36-45.png
 

Attachments

Similar threads

Replies
4
Views
2K
Replies
3
Views
2K
  • · Replies 1 ·
Replies
1
Views
4K
Replies
2
Views
2K
  • · Replies 1 ·
Replies
1
Views
3K
  • · Replies 1 ·
Replies
1
Views
7K
  • · Replies 1 ·
Replies
1
Views
5K
  • · Replies 1 ·
Replies
1
Views
2K
  • · Replies 3 ·
Replies
3
Views
2K
  • · Replies 38 ·
2
Replies
38
Views
6K