Natural Frequency of a Spring System

Click For Summary

Discussion Overview

The discussion revolves around determining the natural frequency of a mass-spring system where a mass is confined to move in a channel and connected to four identical springs oriented at angles. Participants explore the implications of the spring orientation on the natural frequency, considering both static equilibrium and small displacements.

Discussion Character

  • Exploratory
  • Technical explanation
  • Debate/contested
  • Mathematical reasoning

Main Points Raised

  • One participant proposes the natural frequency formula as \(\omega_n = \sqrt{\frac{k}{m}}\) and seeks hints on deriving it from force analysis.
  • Another participant claims to have calculated the natural frequency as \(\frac{\sqrt{4k/m}}{2 \pi}\) by varying angles and lengths, but questions whether this result is valid for arbitrary angles.
  • Some participants express skepticism about the initial result, noting that it seems counterintuitive for the frequency to be independent of the angle, particularly as \(\phi\) approaches 90 degrees, where they argue the frequency should decrease to zero.
  • Concerns are raised about the use of variables in the calculations, specifically the distinction between displacement and constants in the equations, suggesting a need for clarity in definitions.
  • Another participant corrects the force expression related to spring displacement, emphasizing the correct formulation of the spring force in the context of the problem.

Areas of Agreement / Disagreement

Participants do not reach a consensus on the correct expression for the natural frequency, with multiple competing views and uncertainties regarding the influence of the angle on the frequency. There is also disagreement on the proper definitions and formulations used in the analysis.

Contextual Notes

Limitations include potential ambiguities in variable definitions, unresolved mathematical steps regarding the influence of angles, and the need for clarity in the formulation of forces in the system.

Malby
Messages
15
Reaction score
0
A mass m is confined to move in a channel in the x-direction and is connected to four identical springs with spring constant k, which are oriented at angles [itex]\phi[/itex] = 45° as shown, if the system is in static equilibrium.

a) Ignoring friction, determine the natural frequency of vibration of the system.
b) What is the natural frequency, if the springs are oriented at equal but arbitrary angles [itex]\phi[/itex]?

[itex]\omega[/itex]n = [itex]\sqrt{\frac{k}{m}}[/itex]

Not quite sure how to go about this one. I figure you need to take a small displacement of the system to the right or less then analyse the forces such that [itex]\Sigma[/itex]F = ma, and then derive the standard form of the spring equation from there.

Any hints would be helpful!

iwIpV.png
 
Physics news on Phys.org
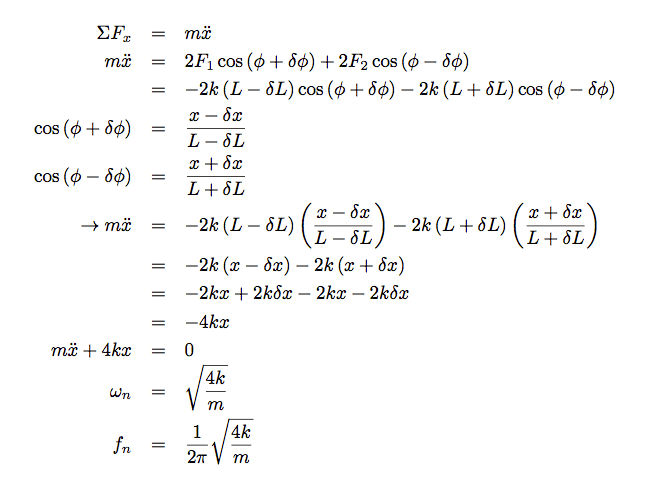
I worked through it again and found the natural frequency to be:

sqrt(4k/m)/(2 * Pi).

I basically let the angles on both sides change by phi +/- dphi, and the same with the length L -/+ dL, and with x. If this is the correct answer then I suppose it worked out ok.
 
That's the answer I would expect if Φ=0. It seems odd to me that the frequency doesn't depend on the angle at all. Do you still think that expression is correct?
 
vela said:
That's the answer I would expect if Φ=0. It seems odd to me that the frequency doesn't depend on the angle at all. Do you still think that expression is correct?

You're right. As [itex]\phi[/itex] goes to 90 degrees, the natural frequency should decrease to 0, as there would be no component of force acting in the x-direction then. It appears as though multiplying by cosine would make this correct, but I don't know where that comes in in the working:

GM6iG.png


In the diagram, the angle on the left is phi + dphi, the angle on the right is phi - dphi.

LYg2O.png
 
I have spotted two problems here:

1. The problem statement says that x is the mass's displacement from equilibrium. Yet you use δx as the displacement, and x appears to be a constant equal to LcosΦ according to your diagram in Post #4. But wait, you are also using x as a variable, since you are trying to set up a differential equation for it. Use x as the displacement, as stated in the problem, and stay with that definition.

2. A spring exerts a force -k·δL, not -k·(L±δL).
 

Similar threads

  • · Replies 19 ·
Replies
19
Views
3K
Replies
3
Views
3K
Replies
17
Views
3K
Replies
1
Views
2K
  • · Replies 1 ·
Replies
1
Views
4K
Replies
17
Views
2K
  • · Replies 8 ·
Replies
8
Views
2K
Replies
5
Views
4K
  • · Replies 1 ·
Replies
1
Views
2K
  • · Replies 20 ·
Replies
20
Views
4K