New to the Einstein notation, having trouble with basic calculations

  • Thread starter Thread starter Ineedhelpimbadatphys
  • Start date Start date
  • Tags Tags
    Einstein notation
Click For Summary
SUMMARY

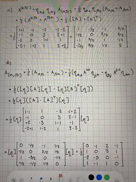
The discussion focuses on the application of Einstein notation in tensor calculations, specifically addressing the definitions of symmetric and antisymmetric tensors. The correct expressions for these tensors are provided: ##A^{(ab)}=\frac 12(A^{ab}+A^{ba})## for symmetric tensors and ##A^{[ab]}=\frac 12(A^{ab}-A^{ba})## for antisymmetric tensors. The importance of avoiding commas between indices is emphasized to prevent misinterpretation. Additionally, the correct lowering of indices on tensors is highlighted, particularly regarding the components of ##\eta_{ab##.

PREREQUISITES
  • Understanding of Einstein notation and tensor algebra
  • Familiarity with symmetric and antisymmetric tensors
  • Knowledge of index notation and its conventions
  • Basic understanding of metric tensors, specifically ##\eta_{ab}##
NEXT STEPS
  • Study the properties of symmetric and antisymmetric tensors in detail
  • Learn about the implications of index notation in tensor calculus
  • Explore the role of metric tensors in lowering and raising indices
  • Review examples of tensor calculations using Einstein notation
USEFUL FOR

This discussion is beneficial for students and professionals in physics and mathematics, particularly those working with tensor calculus and general relativity. It is also useful for anyone seeking to clarify their understanding of Einstein notation and its applications in calculations.

Ineedhelpimbadatphys
Messages
9
Reaction score
2
Homework Statement
picture below.
Relevant Equations
no equations, but I am most interested in c), d), g) and e). I would like to know if my attempts are correct. If not, what am I doing wrong?
We are using minkowski metric.
IMG_2210.jpeg
?hash=cceb4ce37c5fbf4c97f1a43dd1194424.jpg
IMG_2518.jpeg
 

Attachments

  • image.jpg
    image.jpg
    57.1 KB · Views: 112
Physics news on Phys.org
I haven't checked your arithmetic, but (c) seems correct, if long-winded. You could just say ##A^{(ab)}=\frac 12(A^{ab}+A^{ba})## by definition.

Similarly (d), where you can just say ##A^{[ab]}=\frac 12(A^{ab}-A^{ba})## by definition. I suspect going the long way round got you into a pickle here, because you've somehow ended up with extra factors of the metric that shouldn't be there. (By the way, don't put commas between indices. Some people use ##V_{a,b}## as shorthand for ##\frac{\partial}{\partial x_b}V_a##, and you're liable to be misinterpreted.)

Your approach to (g) and (h) (did you mean (h) or (e)?) appears correct, but I'm not sure you've lowered indices correctly on the tensor. What are the components of ##\eta_{ab}## in your convention?
 

Similar threads

  • · Replies 2 ·
Replies
2
Views
2K
  • · Replies 3 ·
Replies
3
Views
2K
  • · Replies 2 ·
Replies
2
Views
3K
  • · Replies 22 ·
Replies
22
Views
3K
  • · Replies 4 ·
Replies
4
Views
1K
  • · Replies 4 ·
Replies
4
Views
2K
  • · Replies 3 ·
Replies
3
Views
2K
Replies
4
Views
4K
  • · Replies 2 ·
Replies
2
Views
4K
  • · Replies 4 ·
Replies
4
Views
1K