Normalize the eigenfunction of the momentum operator

Click For Summary

Homework Help Overview

The discussion revolves around normalizing the eigenfunction of the momentum operator in quantum mechanics. Participants are examining the mathematical formulation and implications of the normalization condition for the eigenfunction derived from the momentum operator equation.

Discussion Character

  • Conceptual clarification, Mathematical reasoning, Assumption checking

Approaches and Questions Raised

  • Participants are exploring the normalization of the eigenfunction, questioning the validity of the integral used for normalization, and discussing the implications of using Dirac notation. There is also a suggestion to consider periodic boundary conditions to properly define the momentum operator.

Discussion Status

The discussion is active, with participants raising questions about the divergence of integrals and the assumptions made in the normalization process. Some guidance has been offered regarding the use of periodic boundary conditions and the integral representation of the Dirac delta function, indicating a productive exploration of the topic.

Contextual Notes

There is a mention of potential mathematical sloppiness in the original problem setup, and participants are considering the implications of working in finite versus infinite domains for the momentum operator.

LCSphysicist
Messages
644
Reaction score
163
Homework Statement
I will post a print
Relevant Equations
The momentum operator identity
1602127827765.png
1602127840716.png


I am just solving the equation $$\frac{h}{2\pi i}\frac{\partial F}{\partial x} = pF$$, finding $$F = e^{\frac{ipx2\pi }{h}}C_{1}$$, and$$ \int_{-\infty }^{\infty }C_{1}^2 = 1$$, which gives me $$C_{1} = \frac{1}{(2\pi)^{1/2} }$$, so i am getting the answer without the h- in the denominator

Pretty sure the error is in the third line. But can't say where there
 
Last edited:
Physics news on Phys.org
Doesn't ##\int_{-\infty }^{\infty }C_{1}^2\,dx## diverge?
 
vela said:
Doesn't ##\int_{-\infty }^{\infty }C_{1}^2\,dx## diverge?
Yeh but we use dirac notation here just to normalize it (i am still trying to get how this work)
1602130017858.png
1602130041538.png
 
LCSphysicist said:
Yeh but we use dirac notation here just to normalize it (i am still trying to get how this work)
The point is that your third line is non-sensical. It's clear that
$$\int_{-\infty}^\infty C_1^2\,dx \ne 1$$ for any value of ##C_1##, so how you ended up concluding on the following line that ##C_1 = 1/\sqrt{2\pi}## is a mystery.

Do you know the integral representation of the Dirac delta function?
 
Where is this from? Quantum mechanics is usually presented with some (healthy) mathematical sloppiness in physics textbooks, but obviously you have a book where the sloppiness is used in a way where it becomes unhealthy.

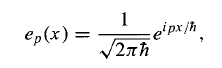
There are many ways out of this. One is to do quantization of a particle in a finite volume (or here in the 1D case finite line). In order to have a proper momentum operator you have to use periodic boundary conditions, i.e., consider a particle at the interval ##(-L,L)## an impose the periodic boundary conditions ##\psi(-L)=\psi(L)## on the wave functions. The momentum operator is given as in infinite space by ##\hat{p}=-\mathrm{i} \hbar \partial_x##.

Now solve the problem first for this space and then take the limit ##L \rightarrow \infty## in the proper way such as in this limit
$$\int_{\mathbb{R}} \mathrm{d} x e_p^*(x) e_{p'}(x)=\delta(p-p').$$
 
  • Like
Likes   Reactions: PhDeezNutz

Similar threads

  • · Replies 2 ·
Replies
2
Views
3K
  • · Replies 1 ·
Replies
1
Views
2K
Replies
13
Views
3K
  • · Replies 8 ·
Replies
8
Views
3K
Replies
1
Views
2K
Replies
3
Views
3K
Replies
4
Views
1K
  • · Replies 36 ·
2
Replies
36
Views
6K
Replies
24
Views
3K
  • · Replies 2 ·
Replies
2
Views
2K