Object movement under the infuence of Forces on the x,y axes

Click For Summary

Homework Help Overview

The discussion revolves around the motion of an object influenced by forces along the x and y axes, focusing on deriving the velocity function V(t) and understanding the object's trajectory. Participants explore the application of Newton's second law and integration techniques to analyze the motion.

Discussion Character

  • Exploratory, Conceptual clarification, Mathematical reasoning, Problem interpretation

Approaches and Questions Raised

  • Participants suggest finding acceleration using Newton's second law and integrating velocity to determine position. There are questions about the correctness of integration bounds and the implications of negative distances. Some participants express confusion about the type of motion described by the equations presented.

Discussion Status

Several participants have provided insights and guidance on integration and the interpretation of results. There is ongoing exploration of the implications of initial conditions and the behavior of the object's motion over time. Multiple interpretations of the motion are being considered, with no explicit consensus reached.

Contextual Notes

Participants are grappling with the implications of initial conditions, integration techniques, and the physical interpretation of negative distances in the context of the problem. The discussion is framed within the constraints of homework rules, emphasizing the learning process rather than providing direct solutions.

Michael_0039
Messages
59
Reaction score
7
Homework Statement
Mass object m is moving on plane x-y under the influence of constant force F. The projection Force on x'x is F*cos(ωt) and on y'y F*sin(ωt), ω=constant. For t=0 the Velocity=0. Find the V(t) and the route's length of the object until it stops for the first time.
Relevant Equations
F*cos(ωt)
F*sin(ωt)
Which could be the first step to find the V(t) ?

pic.png
 
Physics news on Phys.org
$$\vec F = m\vec a = m \frac {d\vec V}{dt}$$
$$(F_x, F_y) = m \frac {d} {dt} (v_x, v_y)$$

So just solve the two differential equations for the component functions ##v_x(t)## and ##v_y(t)##. Those are the components of the vector velocity ##\vec V(t)##
 
  • Like
Likes   Reactions: Michael_0039
The first step would be to find the acceleration. You could use Newton's second law.
 
  • Like
Likes   Reactions: Michael_0039
This is my try:

1.jpg

2.jpg

3.jpg
 
  • Like
Likes   Reactions: tnich
Now, for the route's length, I have to integrate one more time [ ds/dt=v ]? And try to find the s. Is that process correct ?
 
Last edited:
Michael_0039 said:
Now, for the route's length, I have to integrate one more time [ ds/dt=v ]? And try to find the s. Is that process correct ?
Yeah, you have the formula ##\mathrm{ds}=|\mathbf{v}|\mathrm{dt}##.
 
  • Like
Likes   Reactions: Michael_0039
I try this, but the solution is negative, how this is explained ? And how will I work for "...until it stops for the first time "

New Doc 2019-09-25 12.17.51_1.jpg

New Doc 2019-09-25 12.17.51_2.jpg
 
Last edited:
Try just integrating the velocity to get the position as a function of time. From this, the shape of the object's trajectory should be obvious, and it will allow you to easily calculated the distance traveled.
 
  • Like
Likes   Reactions: archaic
tnich said:
Try just integrating the velocity to get the position as a function of time. From this, the shape of the object's trajectory should be obvious, and it will allow you to easily calculated the distance traveled.
Thanks for your answer! I find this one:
1569425524808.png

but I do not understand what kind of motion describe this one?
The obvious might be a helicoidal movement, because of the Fx=F*cos(ωt) & Fy=F*sin(ωt).
 
  • #10
Michael_0039 said:
Thanks for your answer! I find this one:
View attachment 250192
but I do not understand what kind of motion describe this one?
The obvious might be a helicoidal movement, because of the Fx=F*cos(ωt) & Fy=F*sin(ωt).
you know what's weird? at ##t=0s## your object has moved a negative distance.
 
  • Like
Likes   Reactions: jbriggs444
  • #11
Michael_0039 said:
The obvious might be a helicoidal movement, because of the Fx=F*cos(ωt) & Fy=F*sin(ωt).
You are on the right track here, but it's a 2-dimensional path. What would your helix look like if z(t) = 0?
 
  • #12
I think your expression for ##v_y## is wrong, shouldn't it be ##v_y(t)=-\frac{F\cos{\omega t}}{m\omega}##? You have integrated between ##0## and ##t##, it should've been ##\int_{t_0}^{t'}dt##, and since velocity is zero at ##t=t_0##, you'll have ##v_y(t')=v(t')-v(t_0)=v(t')##. Same thing for ##v_x## but you've fortunate enough that ##\sin{0}=0##.

EDIT : No, I'm wrong.
 
  • #13
As @archaic points out in post #10, your expression for S does not give the right value at t=0. This is because you did not apply the bounds correctly. When you fix that you will find the constant of integration will ensure your result is positive, at least initially. But you may notice it still goes down after a while, which is also infeasible.

The next problem is that having taken the modulus of velocity to get speed, you must be careful what happens to your integral when the integrand reaches zero. Blindly integrating through that point might result in your inadvertently using negative values for speed. This is probably why the question specifies "until it comes to rest for the first time".

The whole thing becomes simpler if you get rid of the surd, which you can do by considering the half angle ##(\cos(\frac 12\omega t))##.
 
  • #14
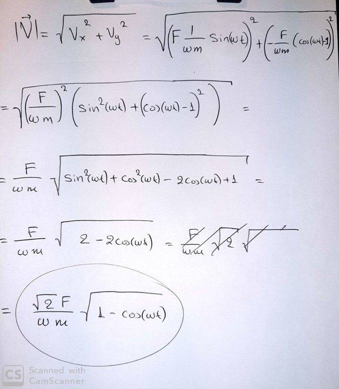
This is what you've done so far :
$$|\vec v|=\sqrt{v_x^2+v_y^2}=\frac{F\sqrt{2}}{\omega m}\sqrt{1-\cos{\omega t}}=\frac{2F}{\omega m}\sin{\frac{\omega}{2}t}$$
My calculation for ##S(t)## gives this, following haruspex's advice. You can see that it is zero in the beginning.
$$S(t)=\int_0^{t}|\vec v(t')|dt'=\frac{4F}{\omega^2m}(1-\cos{\frac{\omega}{2}t})$$
You probably have a stray minus sign somewhere.
 
  • Like
Likes   Reactions: Michael_0039
  • #15
archaic said:
$$|\vec v|=\sqrt{v_x^2+v_y^2}=\frac{F\sqrt{2}}{\omega m}\sqrt{1-\cos{\omega t}}=\frac{2F}{\omega m}\sin{\frac{\omega}{2}t}$$
##\frac{2F}{\omega m}|\sin(\frac{\omega}{2}t)|##
 
  • Like
Likes   Reactions: archaic and Michael_0039
  • #16
Hello all !

Thanks for your answers.

Now I see, using this trigonometric transformation formula
1569862968679.png


, it is much better.
 
  • #17
haruspex said:
##\frac{2F}{\omega m}|\sin(\frac{\omega}{2}t)|##
I often miss that after rooting a square, thank you!
 
  • #18
Michael_0039 said:
Hello all !

Thanks for your answers.

Now I see, using this trigonometric transformation formula
View attachment 250429

, it is much better.
I have something to say about your work, and I think I am right this time.
When you are looking to get the anti-derivative but without caring about the accumulation of change (to mathematically vulgarize it : ##\int_a^b df = f(a+dx)-f(a)+f(a+2dx)-f(a+dx)+...+f(b)-f(b-dx)##), you should do an indefinite integration and find the constant using given conditions.
Consider some 1D motion with a constant acceleration ##a## and an initial velocity ##v_0##.
$$\int_{t_0}^t a\,dt'=a(t-t_0)=v(t)-v(t_0)\neq v(t)=\int a\,dt=at+c\text{, }v(0)=v_0=c$$
Or ##v(t)=\int_{t_0}^t a\,dt+v(t_0)##
Someone correct me if I'm wrong!
 
  • #19
  • Like
Likes   Reactions: archaic
  • #20
Michael_0039 said:
Α complete answer: https://docdro.id/w07veT5

Are you in agreement with this?Thanks
Looks good - well done.
 

Similar threads

  • · Replies 2 ·
Replies
2
Views
1K
Replies
3
Views
1K
  • · Replies 62 ·
3
Replies
62
Views
5K
  • · Replies 13 ·
Replies
13
Views
2K
Replies
14
Views
2K
  • · Replies 21 ·
Replies
21
Views
3K
Replies
4
Views
2K
  • · Replies 1 ·
Replies
1
Views
1K
  • · Replies 7 ·
Replies
7
Views
3K
  • · Replies 1 ·
Replies
1
Views
1K