ODE question: Understanding a step in the solution

Click For Summary
SUMMARY

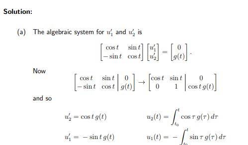
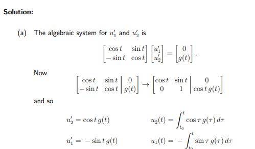
The discussion centers on understanding a step in the solution of the ordinary differential equation (ODE) y'' + y = g(t) using the method of variation of parameters. The user seeks clarification on the transformation of a matrix in the solution process and questions the representation of the terms y1 = e^(it) and y2 = e^(-it) in the context of the matrix. The solution involves Gaussian elimination to derive the identity matrix from the initial matrix, which is crucial for solving the ODE effectively.

PREREQUISITES
  • Understanding of ordinary differential equations (ODEs)
  • Familiarity with the method of variation of parameters
  • Knowledge of Gaussian elimination
  • Basic complex number theory, particularly Euler's formula
NEXT STEPS
  • Study the method of variation of parameters in detail
  • Learn about Gaussian elimination techniques in linear algebra
  • Explore the implications of Euler's formula in solving ODEs
  • Review matrix transformations and their applications in differential equations
USEFUL FOR

Students studying differential equations, mathematicians interested in ODE solutions, and educators teaching advanced calculus or linear algebra concepts.

Bonnie
Messages
18
Reaction score
1

Homework Statement


Hi there, I don't nee help with solving a question, so much as understanding a step in the provided worked solution. It's using variation of parameters to solve the ode y''+ y = g(t). I've attached the steps in the picture file, and the bit after the word 'Now' what are they doing to the first matrix in order to get the one following the arrow? It might be really obvious but I don't quite get what they've done.

Aso, since y1 = eit and y2 = e-it, shouldn't the terms in the very first matrix listed (before the ones I referred to earlier) be cos(t)+isin(t) (eg. for the first entry) etc, instead of just cos(t)?
Many thanks

Homework Equations

The Attempt at a Solution

 

Attachments

  • VoP.JPG
    VoP.JPG
    11.5 KB · Views: 320
Last edited:
Physics news on Phys.org
I could not follow the second step=the notation seems unclear, but the first matrix has a very obvious inverse if you are familiar with the equations that do a rotation of axes. Using this it is very easy to get the identity matrix on the left side that is multiplied by the column vector ## (u_1', u_2') ##.
 
Bonnie said:
what are they doing to the first matrix in order to get the one following the arrow?
Gaussian elimination

Bonnie said:
y1 = eit and y2 = e-it
The author of the solution used different expressions for ##y_1## and ##y_2##. Given the matrices in your attachment, you should be able to guess what they are.
 
  • Like
Likes   Reactions: Charles Link

Similar threads

  • · Replies 7 ·
Replies
7
Views
2K
  • · Replies 3 ·
Replies
3
Views
2K
Replies
9
Views
2K
  • · Replies 3 ·
Replies
3
Views
2K
Replies
3
Views
2K
  • · Replies 3 ·
Replies
3
Views
2K
Replies
2
Views
2K
  • · Replies 9 ·
Replies
9
Views
2K
  • · Replies 3 ·
Replies
3
Views
2K
  • · Replies 1 ·
Replies
1
Views
2K