Optimal time for scheduling the tasks

  • Context: MHB 
  • Thread starter Thread starter mathmari
  • Start date Start date
  • Tags Tags
    Scheduling Time
Click For Summary
SUMMARY

The discussion centers on scheduling tasks with specific execution times using three processors, ensuring that the total execution time, denoted as ω, does not exceed 5/3 of the optimal execution time. The tasks T3 and T4 depend on T2, while T5, T6, and T7 depend on T4, and T8 and T9 depend on T7. The calculated execution time ω is 20, but the optimal execution time remains undefined, leading to questions about its determination based on processor efficiency and task dependencies.

PREREQUISITES
  • Understanding of task scheduling algorithms
  • Knowledge of execution time calculations
  • Familiarity with processor utilization concepts
  • Basic graph theory related to task dependencies
NEXT STEPS
  • Research "task scheduling algorithms with dependencies"
  • Learn about "optimal scheduling in parallel processing"
  • Explore "execution time analysis in multi-processor systems"
  • Study "graph theory applications in scheduling problems"
USEFUL FOR

Project managers, software engineers, and system architects involved in optimizing task scheduling and resource allocation in multi-processor environments.

mathmari
Gold Member
MHB
Messages
4,984
Reaction score
7
Hey! 😊

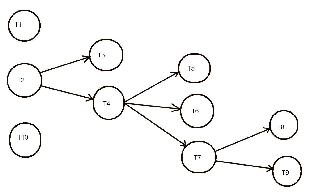
We have the following tasks with the respective times of execution:
\begin{equation*}\begin{matrix}T_1/5 & T_2/4 & T_3/8 & T_4/3 & T_5/4 & T_6/6 & T_7/8 & T_8/3 & T_9/5 & T_{10}/3\end{matrix}\end{equation*} The tasks $T_3,T_4$ have as prerequisite the task $T_2$, the tasks $T_5, T_6, T_7$ have as prerequisite the task $T_4$ and the tasks $T_8, T_9$ have as prerequisite the task $T_7$. Make the schedule of these tasks using three processors so that the time of execution of the tasks $\omega$ is not more than $5/3$ of the optimal time for the execution of the tasks. First I made a diagramm of the tasks in respect of the prerequisites:

tasks.JPG
Then using 3 processors I got the following:

scheduling.JPG
Is this correct? This means that the time needed for the execution of the tasks is $\omega=20$, right?

But which is the optimal time for the execution of the tasks, since $\omega$ has to less or equal to $5/3$ of that optimal time?

Or is the way I did the above wrong? :unsure:
 
Physics news on Phys.org
mathmari said:
This means that the time needed for the execution of the tasks is $\omega=20$, right?
Hey mathmari!

Looks correct to me. (Nod)

mathmari said:
But which is the optimal time for the execution of the tasks, since $\omega$ has to less or equal to $5/3$ of that optimal time?
That depends on how the 'optimal time for the execution of the tasks' is defined.
Is that somewhere in your texts? I can't seem to easily find it. (Wondering)

If I had to guess given the context, I'd guess that it is the time needed if all CPU's run at 100% without wasting any time waiting.
Alternatively it might be the time needed if we had an infinite number of processors. 🤔
 

Similar threads

  • · Replies 1 ·
Replies
1
Views
996
  • · Replies 1 ·
Replies
1
Views
1K
  • · Replies 8 ·
Replies
8
Views
2K
  • · Replies 2 ·
Replies
2
Views
2K
  • · Replies 97 ·
4
Replies
97
Views
24K
  • · Replies 29 ·
Replies
29
Views
6K
  • · Replies 3 ·
Replies
3
Views
2K
  • · Replies 2 ·
Replies
2
Views
2K
  • · Replies 5 ·
Replies
5
Views
6K