Partial Differentiation in Lagrange's Equations

Click For Summary

Discussion Overview

The discussion centers around the mathematical aspects of partial differentiation as applied in Lagrange's equations, specifically referencing transformations from xi-coordinates to generalized coordinates qj. Participants are exploring the implications of the chain rule in differentiation and its application in the context of classical dynamics.

Discussion Character

  • Technical explanation
  • Mathematical reasoning
  • Debate/contested

Main Points Raised

  • One participant asks for clarification on how the derivative of x is derived in the context of Lagrange's equations and the expansion of the time derivative of x.
  • Another participant explains that the situations involve the application of the chain rule of differentiation, providing a formula for the total derivative.
  • Several participants question the origin of the term ∂x/∂t, with one suggesting that a concrete example may help clarify the concept of total derivatives.
  • Responses include a worked example illustrating how to apply the chain rule, showing that dropping the ∂x/∂t term leads to differing results.
  • There is a repeated inquiry about the second term in Equation (7.101) not being equal to zero, with participants suggesting it relates to the chain rule and the dependencies of the functions involved.
  • One participant notes that the right-hand side of Equation (7.100) does not have explicit dependence on certain variables, which affects the partial derivatives.

Areas of Agreement / Disagreement

Participants express varying levels of understanding regarding the application of the chain rule and the implications of certain terms in the equations. There is no consensus on the clarity of the derivations or the interpretations of the equations discussed.

Contextual Notes

Limitations include potential confusion over the definitions of total and partial derivatives, as well as the specific dependencies of the functions involved in the equations.

sams
Gold Member
Messages
84
Reaction score
2
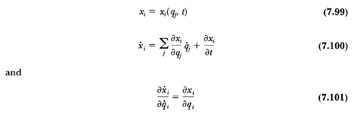
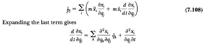
In Section 7.6 - Equivalence of Lagrange's and Newton's Equations in the Classical Dynamics of Particles and Systems book by Thornton and Marion, pages 255 and 256, introduces the following transformation from the xi-coordinates to the generalized coordinates qj in Equation (7.99):

1.PNG
2.PNG


My questions are mathematical rather than physical questions.

1. Could anyone please explain to me how did the Author make the derivative of x in Equation (7.100) and expanded the time derivative of x in the last term of Equation (7.108)?

2. Is there any mathematical relation of the partial derivatives used for the above two cases?

Your help is much appreciated. Thanks a lot...
 

Attachments

  • 1.PNG
    1.PNG
    2.8 KB · Views: 1,109
  • 2.PNG
    2.PNG
    4.2 KB · Views: 1,021
Last edited:
Physics news on Phys.org
Both situations involve application of the chain rule of differentiation.
$$\dot {x}=\frac{d}{dt}x(q,t)=\frac{\partial x}{\partial q}\frac{\partial q}{\partial t}+\frac{\partial x}{\partial t}=\frac{\partial x}{\partial q}\dot q+\frac{\partial x}{\partial t}$$
 
  • Like
Likes   Reactions: sams
Where did the second term ∂x/∂t came from?
 
sams said:
Where did the second term ∂x/∂t came from?
Perhaps a simple concrete example would be appropriate at this point because it looks like you are confused about what a total derivative means.
Suppose ##x(q,t) = 3q^2t## where ##q=t^4##. What is ##\dot x##?
Answer I (according to the rule I gave you)
$$\dot x= \frac{\partial x}{\partial q}\dot q+\frac{\partial x}{\partial t}=3 (2q)t\dot q+3q^2 =3 (2t^4)t4t^3+3t^8=27t^8$$Answer II (replacing ##q=t^4## in the original expression)
$$\dot x= \frac{d x}{dt}[3(t^8)t]=27t^8$$Clearly the answers would not match if one dropped the ##\frac{\partial x}{\partial t}## term in Answer I.
 
  • Like
Likes   Reactions: sams
sams said:
Where did the second term ∂x/∂t came from?
The same place as the others. The chain rule says that if you have a function ##f(q_1,q_2,...,q_n)## where the ##q_i## are functions of ##t## then the derivative of ##f## with respect to ##t## is $$\frac{df}{dt}=\frac{\partial f}{\partial q_1}\frac{dq_1}{dt}+\frac{\partial f}{\partial q_2}\frac{dq_2}{dt}+...+\frac{\partial f}{\partial q_n}\frac{dq_n}{dt}$$You seem comfortable with that (I've just expanded the sum in 7.100). Now what if ##q_n(t)=t##? Which is to say, what if the function ##f## has (n-1) dependencies on functions ##q_j## and one explicit dependence on ##t##, as your ##x_i(q_j,t)## functions do? In that case, the last term simplifies to ##\partial f/\partial t##. That's all that's going on.
 
Last edited:
  • Like
Likes   Reactions: sams
Thanks a lot! That was very helpful...

The second term in Equation (7.101) is not equal to zero, how did we prove this equation? Is there any certain rule in Mathematics for this relation?
 
sams said:
Thanks a lot! That was very helpful...

The second term in Equation (7.101) is not equal to zero, how did we prove this equation? Is there any certain rule in Mathematics for this relation?
It's the chain rule of differentiation. You must have proved it in calculus I.
If you have a function ##f(u,v)## then
$$\frac{df(u,v)}{dt}=\frac{\partial f}{\partial u}\frac{\partial u}{\partial t}+\frac{\partial f}{\partial v}\frac{\partial v}{\partial t}$$
What do you get when ##v=t##?
 
Last edited:
  • Like
Likes   Reactions: sams
sams said:
The second term in Equation (7.101) is not equal to zero, how did we prove this equation? Is there any certain rule in Mathematics for this relation?
I think the point is that nothing on the RHS of 7.100 has any explicit dependence on ##\dot{q_i}## except ##\dot{q_i}## itself. So the partial derivatives of every term with respect to ##\dot{q_i}## are zero except for the one term where ##j=i##, which gives you 7.101.
 
  • Like
Likes   Reactions: sams

Similar threads

  • · Replies 1 ·
Replies
1
Views
1K
  • · Replies 1 ·
Replies
1
Views
1K
  • · Replies 1 ·
Replies
1
Views
2K
  • · Replies 3 ·
Replies
3
Views
2K
  • · Replies 2 ·
Replies
2
Views
2K
  • · Replies 2 ·
Replies
2
Views
2K
Replies
6
Views
2K
  • · Replies 2 ·
Replies
2
Views
3K
  • · Replies 1 ·
Replies
1
Views
3K
  • · Replies 4 ·
Replies
4
Views
2K