Path/time function of a freesbie (the ride at amusement parks)

  • Thread starter Thread starter Kakainsu
  • Start date Start date
  • Tags Tags
    Function
Click For Summary

Homework Help Overview

The discussion revolves around modeling the motion of a Frisbee-like ride at amusement parks, particularly focusing on the combination of pendulum motion and circular motion in a three-dimensional space. Participants are exploring how to express the path-time function for a person sitting on the edge of the Frisbee, considering both vertical swing and the circular motion of the ride.

Discussion Character

  • Mixed

Approaches and Questions Raised

  • Participants discuss the use of polar coordinates and unit vectors to describe the motion, questioning how to incorporate the changing planes of motion. There are inquiries about the relevance of mass and the effects of angular momentum on the system. Some express uncertainty about their mathematical background, particularly regarding linear algebra and matrix transformations.

Discussion Status

The conversation is ongoing, with various participants offering insights into the mathematical modeling of the motion. Some have suggested starting points for expressing the position and velocity of points on the Frisbee, while others are still grappling with the concepts and seeking clarification on specific mathematical expressions.

Contextual Notes

Participants note constraints related to their current level of understanding and the time pressure of impending deadlines. There is acknowledgment that a solid grasp of linear algebra may be necessary to fully engage with the problem, which some feel is beyond their current high school knowledge.

Kakainsu
Messages
32
Reaction score
5
Homework Statement
How would you set up the path-time function of a so-called Frisbee? For those who do not know what a Frisbee is, it is a kind of modified swing, the pendulum movement is still present, but at the same time the swing rotates around its own axis, thus executes a circular movement that should be assumed to be uniform.
Relevant Equations
View images, I'm new, so no idea how to post them here :(.
I would express the pendulum motion in form of polar coordinates with corresponding unit vectors in the x-z-plane (view images, ignore the german, sorry). How would you now bring in the circular movement, which is constantly changing its plane? Is it enough to simply add the representation of a circular path in the x-y plane to the equation underneath? That wouldn't take into account the constant "switching" planes, but rather assume that the circular disk is constantly parallel to the x-y plane, right? Unfortunately, I'm still a high school student, so I really don't know how to proceed from there. Many thanks for your help!
Screenshot_20200807-123222_Drive.jpg
?hash=81b40d379fe1bae5dd4dd7391e6d3d69.jpg
 

Attachments

  • 20200807_123153.jpg
    20200807_123153.jpg
    4.3 KB · Views: 197
Physics news on Phys.org
The path-time function of what point on the (inverted) Frisbee?
For a point on the axle, the rotation about the axle is irrelevant.
You could pick a generic point and write the function for that, or define a second coordinate system in which the Frisbee is stationary and write the time-dependent matrix transformation between the coordinate systems.
 
I mean for a Person that is sitting on the edge of the circle. As a non-uni student and only very basic knowledge of linear algebra, how long does it take me to understand the matrix stuff (lol)? I mean I know the basic idea but not to the point where I would be able to properly write it out. I know it's a lot, but could someone give some first steps in the mathematics?
 
The swing in the attached image is a classic one without circular motion. I attached a proper Frisbee for a better understanding.
 

Attachments

  • Screenshot_20200807-131010_YouTube.jpg
    Screenshot_20200807-131010_YouTube.jpg
    123.2 KB · Views: 235
Kakainsu said:
I mean for a Person that is sitting on the edge of the circle.
Ok, but I assume the person's mass does not affect the swing.
Can you write the vector expression for the position of the person relative to the centre of the Frisbee?
 
No I cannot. As i said, I'm only able to model the vertical swing but am unsure of how to express the simultaneous circular motion.
 
Ok, but I assume the person's mass does not affect the swing.
Can you write the vector expression for the position of the person relative to the centre of the Frisbee?
[/QUOTE]I mean I could do so for the disk being parallel to the x-z-plane by using polar coordinates, but I don't know how to factor in the constant switching in planes. I already thought you would need a proper linear algebra background, this is nothing one can model with high-school knowledge, unfortunately...but ad long as it is in a manageable magnitude, I would start learning lin. Algebra, but I am constrained by a deadline (in 2 months)...
 
Kakainsu said:
No I cannot. As i said, I'm only able to model the vertical swing but am unsure of how to express the simultaneous circular motion.
You have unit vectors ##e_R, e_{\phi}##. To express a position outside the XZ plane you need a unit vector orthogonal to those. How can you easily write an expression for such?
Having done that, you need a linear combination of that and ##e_{\phi}##, with the coefficients as functions of time.
 
By calculating the cross product? I really don't know, I am very thankful for your help and don't want to come across as lazy: I think I understand the idea behind having coefficients dependent on time, but as I said, I am only a hs-student, so a little explanation would mean a lot.
 
  • #10
Kakainsu said:
By calculating the cross product?
By writing it as a cross product, yes: ##\vec e_s=\vec e_R\times\vec e_{\phi}##, say.
So now you want to express a vector that rotates steadily in the ##\vec e_s, \vec e_{\phi}## plane.
 
  • #11
haruspex said:
By writing it as a cross product, yes: ##\vec e_s=\vec e_R\times\vec e_{\phi}##, say.
So now you want to express a vector that rotates steadily in the ##\vec e_s, \vec e_{\phi}## plane.
Right and how can I achieve that?
 
  • #12
Is the rod massless? I will assume it is from here on, and that the frisbee has a mass ##M##. I will also say the frisbee has a radius ##r##. You can start off by trying to write the equation for angular momentum.

Suppose the rod rotates about the centre of the circle at ##\vec{\Omega}(t) = \Omega(t) \hat{y}##, and that the frisbee (which I assume we model as disk) rotates about its centre with ##\vec{\omega}(t) = \omega(t) \hat{r}##. Using the König theorem we can express the total angular momentum of the system as the sum of the angular momenta of the centre of mass and that w.r.t. the centre of mass,$$\vec{L} = MR^2 \Omega(t) \hat{y} + \frac{1}{2}Mr^2 \omega(t) \hat{r}$$The gravitational torque on the system will be $$\vec{\tau} = R\hat{r} \times M\vec{g} = RM \hat{r} \times \vec{g}$$So you can write$$RM \hat{r} \times \vec{g} = \frac{d}{dt} \left( MR^2 \Omega(t) \hat{y} + \frac{1}{2}Mr^2 \omega(t) \hat{r} \right)$$Hint: To simplify, the LHS only has a ##\hat{y}## component... so the components in the plane of the RHS must be zero... what does that tell you about the time dependence of ##\omega(t)##? Then you see the problem is equivalent to...
 
Last edited by a moderator:
  • #13
haruspex said:
By writing it as a cross product, yes: ##\vec e_s=\vec e_R\times\vec e_{\phi}##, say.
So now you want to express a vector that rotates steadily in the \vec e_R\times\vec e_{\phi}##plane.
One thing that I need to make sure to understand: We assume that the two unit vectors are rotating with the circle, right?
 
  • #14
Kakainsu said:
One thing that I need to make sure to understand: We assume that the two unit vectors are rotating with the circle, right?
No. The ##e_s## vector always points out of the XZ plane.
If you wanted to express a unit vector rotating in an XY plane in terms of the x and y unit vectors, could you do that? If it helps, start in polar and convert to x, y.
 
  • #15
haruspex said:
No. The ##e_s## vector always points out of the XZ plane.
If you wanted to express a unit vector rotating in an XY plane in terms of the x and y unit vectors, could you do that? If it helps, start in polar and convert to x, y.
As unit vectors have length 1, the position can be expressed as (sorry I can't do any latex):
P = ( cos (a°) | sin (a°) )

This is supposed to be a vector :)So yeah this is dependent of the angle but not time :(
 
  • #16
Kakainsu said:
Right and how can I achieve that?

As @haruspex said, it's actually easier to start using the polar coordinates established in the diagram. You can write the velocity of any point on a rigid body (in this case, the frisbee) as the sum of the velocities of a known point - in this case, the centre of the disk is easiest - plus the bit relating to rotation about the centre, ##\vec{\omega}(t) \times \vec{r}'##, where ##\vec{r}'## is the vector from the centre of the disk to the point on the disk you want the velocity of.

I will cut to the chase since it seems you and @haruspex are steaming away with the kinematics; the centre of mass of the disk behaves just like a normal pendulum (see post above if you are in doubt of this) with $$\psi(t) = \psi_0 \cos{\left(\sqrt{\frac{g}{R}}t \right)}$$ $$\frac{d\psi}{dt} = -\psi_0 \sqrt{\frac{g}{R}}\sin{\left(\sqrt{\frac{g}{R}}t \right)}$$The velocity of the centre of mass of the disk is ##\vec{V} = R\frac{d\psi}{dt} \hat{\psi}##. To that you need to add on the velocity of the point under consideration w.r.t. the centre of mass, namely ##\omega(t) \hat{r} \times \vec{r}'##, so that the actual velocity w.r.t. the lab frame is$$\vec{v} = R\frac{d\psi}{dt} \hat{\psi} + \omega(t) \hat{r} \times \vec{r}'$$So the question is, which point on the disk do you want the velocity of? As you guys were saying, if you want to know this for a point outside of the XZ plane, you will need to make use of your new vector ##\vec{e}_s##!
 
  • #17
haruspex said:
No. The ##e_s## vector always points out of the XZ plane.
If you wanted to express a unit vector rotating in an XY plane in terms of the x and y unit vectors, could you do that? If it helps, start in polar and convert to x, y.
So ( cos (a°) | sin (a°)) is our unit vector e (with index r) and the position in can generally expressed as

r = R*e (with index r)
 
  • #18
etotheipi said:
As @haruspex said, it's actually easier to start using the polar coordinates established in the diagram. You can write the velocity of any point on a rigid body (in this case, the frisbee) as the sum of the velocities of a known point - in this case, the centre of the disk is easiest - plus the bit relating to rotation about the centre, ##\vec{\omega}(t) \times \vec{r}'##, where ##\vec{r}'## is the vector from the centre of the disk to the point on the disk you want the velocity of.

I will cut to the chase since it seems you and @haruspex are steaming away with the kinematics; the centre of mass of the disk behaves just like a normal pendulum (see post above if you are in doubt of this) with $$\psi(t) = \psi_0 \cos{\left(\sqrt{\frac{g}{R}}t \right)}$$ $$\frac{d\psi}{dt} = -\psi_0 \sqrt{\frac{g}{R}}\sin{\left(\sqrt{\frac{g}{R}}t \right)}$$The velocity of the centre of mass of the disk is ##\vec{V} = R\frac{d\psi}{dt} \hat{\psi}##. To that you need to add on the velocity of the point under consideration w.r.t. the centre of mass, namely ##\omega(t) \hat{r} \times \vec{r}'##, so that the actual velocity w.r.t. the lab frame is$$\vec{v} = R\frac{d\psi}{dt} \hat{\psi} + \omega(t) \hat{r} \times \vec{r}'$$So the question is, which point on the disk do you want the velocity of? As you guys were saying, if you want to know this for a point outside of the XZ plane, you will need to make use of your new vector ##\vec{e}_s##!
First of all thank you very much. So here are my problems: If I follow your route, I will get to a expression for the velocity, meaning that I will get to the path/time diagram by integrating and to the acceleration by differentiating, right? And unfortunately I have no idea of how to use the new vector
 
  • Like
Likes   Reactions: etotheipi
  • #19
Kakainsu said:
First of all thank you very much. So here are my problems: If I follow your route, I will get to a expression for the velocity, meaning that I will get to the path/time diagram by integrating and to the acceleration by differentiating, right?

In theory, yeah. In practice it will straightforward to differentiate that expression to find the acceleration, but I can imagine it's probably going to be quite tricky to integrate it to find an expression for ##\vec{r}(t)## of a single, off-centre particle.

The most important thing is that you understand how to obtain a velocity of a point on a rigid body from the sum of the velocities of any arbitrary point on the rigid body, plus the rotational contribution.

Kakainsu said:
And unfortunately I have no idea of how to use the new vector

As an example, suppose you want the velocity of the point on the disk closest to you (e.g. in the ##\vec{e}_s## direction, from the centre of the disk). Then you would have ##\vec{r}' = r \vec{e}_s##. Plug that in, and that's pretty much all there is to it! Of course, for other points on the disk it might be a little more tricky to find ##\vec{r}'##...
 
  • #20
etotheipi said:
In theory, yeah. In practice it will straightforward to differentiate that expression to find the acceleration, but I can imagine it's probably going to be quite tricky to integrate it to find an expression for ##\vec{r}(t)## of a single, off-centre particle.

The most important thing is that you understand how to obtain a velocity of a point on a rigid body from the sum of the velocities of any arbitrary point on the rigid body, plus the rotational contribution.
As an example, suppose you want the velocity of the point on the disk closest to you (e.g. in the ##\vec{e}_s## direction, from the centre of the disk). Then you would have ##\vec{r}' = r \vec{e}_s##. Plug that in, and that's pretty much all there is to it! Of course, for other points on the disk it might be a little more tricky to find ##\vec{r}'##...
The point that I'm interested in is the edge so considering the expression for vector r' you wrote is good enough for me. Let's say I would want to try out the equation for velocity in real life, then I would want to take the seat that is exactly orthogonal to the rod and the x-direction of the vertical swing, right?

Btw I unfortunately have no idea about this theorem you stated with them sum of velocities, could you point me to an article/explanation that I could understand?
 
  • #21
Kakainsu said:
The point that I'm interested in is the edge so considering the expression for vector r' you wrote is good enough for me. Let's say I would want to try out the equation for velocity in real life, then I would want to take the seat that is exactly orthogonal to the rod and the x-direction of the vertical swing, right?

Btw I unfortunately have no idea about this theorem you stated with them sum of velocities, could you point me to an article/explanation that I could understand?
So to sum up my current position of understanding, I know that we need to introduce a new unit vector that is orthogonal to the other two unit vectors by calculating the cross product.

I also know how to model the path/time function of a vertical swing.

What I don't know: How can we combine the vertical and circular motion? On top of that we Apparently need an expression for the circular motion dependent of time, which I don't know how to do. So if someone could help me with that, I'd be super thankful and I know that you guys are probably already super pissed off about me being so dumb, but I'm really trying
 
  • #22
Kakainsu said:
The point that I'm interested in is the edge so considering the expression for vector r' you wrote is good enough for me. Let's say I would want to try out the equation for velocity in real life, then I would want to take the seat that is exactly orthogonal to the rod and the x-direction of the vertical swing, right?

Well the thing is, the frisbee is rotating about its own axis at a uniform rate. So you will only be at ##\vec{r'} = r\vec{e}_s## instantaneously.

Kakainsu said:
Btw I unfortunately have no idea about this theorem you stated with them sum of velocities, could you point me to an article/explanation that I could understand?

Essentially, if particle A moves at ##\vec{v}_{AB}## relative to particle B, and particle B moves at ##\vec{v}_{BC}## relative to particle C, then particle A moves at ##\vec{v}_{AB} + \vec{v}_{BC}## relative to particle C.

If the vector from any chosen point P (often the centre of mass) of the rigid body to a particle Q on the outside is ##\vec{r}'##, then the velocity of the point Q w.r.t. P is ##\vec{\omega} \times \vec{r}'##, if ##\vec{\omega}## is the angular velocity of the rigid body.

You can find more details here

Kakainsu said:
What I don't know: How can we combine the vertical and circular motion? On top of that we Apparently need an expression for the circular motion dependent of time, which I don't know how to do. So if someone could help me with that, I'd be super thankful and I know that you guys are probably already super pissed off about me being so dumb, but I'm really trying

That is what we have done! We wrote the velocity of a point on the disk as the sum of the velocity due to rotation of the rod about the hinge, plus the rotational contribution due to the circular motion of the disk about its axis.

I have the feeling that @haruspex will be able to give you a more intuitive and refined version of what I mentioned, but it comes down to the vector addition of relative velocities at the end of the day 😁
 
  • #23
etotheipi said:
Well the thing is, the frisbee is rotating about its own axis at a uniform rate. So you will only be at ##\vec{r'} = r\vec{e}_s## instantaneously.
Essentially, if particle A moves at ##\vec{v}_{AB}## relative to particle B, and particle B moves at ##\vec{v}_{BC}## relative to particle C, then particle A moves at ##\vec{v}_{AB} + \vec{v}_{BC}## relative to particle C.

If the vector from any chosen point P (often the centre of mass) of the rigid body to a particle Q on the outside is ##\vec{r}'##, then the velocity of the point Q w.r.t. P is ##\vec{\omega} \times \vec{r}'##, if ##\vec{\omega}## is the angular velocity of the rigid body.

You can find more details here
That is what we have done! We wrote the velocity of a point on the disk as the sum of the velocity due to rotation of the rod about the hinge, plus the rotational contribution due to the circular motion of the disk about its axis.

I have the feeling that @haruspex will be able to give you a more intuitive and refined version of what I mentioned, but it comes down to the vector addition of relative velocities at the end of the day 😁
Alright, i am very thankful for your help, but i must admit that I understand your Expression only in parts as it is way beyond what I can comprehend right now.
 
  • #24
@haruspex to be honest, your pace was more in line with my poor capabilities, would be very happy if you'd go on with your explanation :).
 
  • #25
Kakainsu said:
need an expression for the circular motion dependent of time
We are told that the Frisbee rotates uniformly about its axis, so there is some constant rotation rate ##\omega##.
(I will not use vector ##\vec\omega## because that is not constant. Its direction keeps changing as the pendulum swings.)
Over time t it rotates through an angle ##\theta(t)=\omega t##.
If ##\vec r'(t)## is the vector from the centre of the Frisbee to the passenger and r is the radius of the Frisbee then, as you found, ##\vec r'=r(\vec e_\phi\cos(\theta)+\vec e_s\sin(\theta))##.
The next problem is to stitch together the motion of the centre of the Frisbee and the motion of the person relative to that centre. You seem to be having trouble with the notion of adding relative vectors.
If ##\vec a## is the vector from point O to point A and ##\vec b_a## is the vector from A to B then ##\vec b=\vec a+\vec b_a## is the vector from O to B. Just draw a diagram to confirm that.
[We can also differentiate this to obtain the relationship between the velocities of points A and B and the velocity of B relative to A: ##\dot{\vec b}=\dot{\vec a}+\dot{\vec {b_a}}##. Differentiating a second time gives the relationship between accelerations.]
 
  • Like
Likes   Reactions: etotheipi
  • #26
haruspex said:
We are told that the Frisbee rotates uniformly about its axis, so there is some constant rotation rate ##\omega##.
(I will not use vector ##\vec\omega## because that is not constant. Its direction keeps changing as the pendulum swings.)
Over time t it rotates through an angle ##\theta(t)=\omega t##.
If ##\vec r'(t)## is the vector from the centre of the Frisbee to the passenger and r is the radius of the Frisbee then, as you found, ##\vec r'=r(\vec e_\phi\cos(\theta)+\vec e_s\sin(\theta))##.
The next problem is to stitch together the motion of the centre of the Frisbee and the motion of the person relative to that centre. You seem to be having trouble with the notion of adding relative vectors.
If ##\vec a## is the vector from point O to point A and ##\vec b_a## is the vector from A to B then ##\vec b=\vec a+\vec b_a## is the vector from O to B. Just draw a diagram to confirm that.
[We can also differentiate this to obtain the relationship between the velocities of points A and B and the velocity of B relative to A: ##\dot{\vec b}=\dot{\vec a}+\dot{\vec {b_a}}##. Differentiating a sec
15968516868427265350803330201398.jpg
ond time gives the relationship between accelerations.]

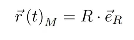
I hope to finally have reached the correct path/time function. I also calculated the cross product for the vector e_s, maybe you cam check but I'm pretty sure its correct. THANK YOU VERY MUCH TO EVERYONE WHO TRIED TO HEKP MY DUMB ASS. Btw are all of you students?
15968516408257622514649938110745.jpg
 
  • #27
Kakainsu said:
I hope to finally have reached the correct path/time function. I also calculated the cross product for the vector e_s, maybe you cam check but I'm pretty sure its correct. THANK YOU VERY MUCH TO EVERYONE WHO TRIED TO HEKP MY DUMB ASS. Btw are all of you students?View attachment 267438
That all looks right, but you can take it further.
Assuming the pendulum is in SHM, you can write all the unit vectors as functions of time.
##\theta## can be replaced by ##\omega t##, making use of the info that the rotation is uniform.
 
  • #28
haruspex said:
That all looks right, but you can take it further.
Assuming the pendulum is in SHM, you can write all the unit vectors as functions of time.
##\theta## can be replaced by ##\omega t##, making use of the info that the rotation is uniform.
Now, if I were to differntiate the equation two times (which btw I don't know how to do, do you just differentiate r_1, r_2, and r_3 individually?), What kind of acceleration will i get or what meaning does it have, if I receive the value 15m/s^2? I do receive the values in m/s^2, right?
 
  • #29
Kakainsu said:
if I were to differntiate the equation two times (which btw I don't know how to do,
You cannot do that usefully until you have everything expressed in terms of time. You can do that following the steps I described in post #27.
Kakainsu said:
I do receive the values in m/s^2, right?
Your haven't posted any actual values specified in the problem. If you have such numbers, they will come with their own units, and those will prescribe the units of the answer.
 
  • #30
6
haruspex said:
You cannot do that usefully until you have everything expressed in terms of time. You can do that following the steps I described in post #27.

Your haven't posted any actual values specified in the problem. If you have such numbers, they will come with their own units, and those will prescribe the units of the answer.
Assume the usual (?) units, so w (omega) in angle/time, time in s, and angles in angles.
 

Similar threads

  • · Replies 1 ·
Replies
1
Views
3K
  • · Replies 1 ·
Replies
1
Views
2K
  • · Replies 2 ·
Replies
2
Views
3K
  • · Replies 11 ·
Replies
11
Views
16K
Replies
9
Views
5K
  • · Replies 0 ·
Replies
0
Views
2K
Replies
7
Views
3K
  • · Replies 7 ·
Replies
7
Views
2K
  • · Replies 9 ·
Replies
9
Views
11K
  • · Replies 2 ·
Replies
2
Views
6K