PDE, heat equation lambda =,<,> 0 question

Click For Summary
SUMMARY

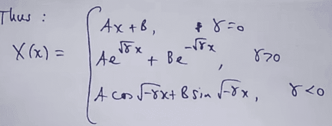
The discussion focuses on the heat equation and the implications of the parameter lambda in the context of separation of variables. Specifically, it addresses the scenario where lambda equals zero and explores whether this case yields a different equation. The key takeaway is that when lambda equals zero, the equation simplifies to a second-order differential equation, specifically ##\frac{d^2}{dx^2}X(x)=0##, which has linear solutions.

PREREQUISITES
  • Understanding of partial differential equations (PDEs)
  • Familiarity with the heat equation
  • Knowledge of separation of variables technique
  • Basic calculus and differential equations
NEXT STEPS
  • Study the implications of lambda values in the heat equation
  • Explore solutions to the equation ##\frac{d^2}{dx^2}X(x)=0##
  • Learn about boundary conditions in the context of PDEs
  • Investigate the role of eigenvalues in solving differential equations
USEFUL FOR

Students and researchers in mathematics, physicists studying heat transfer, and engineers working with thermal systems will benefit from this discussion.

kevin_tee
Messages
80
Reaction score
2
So I have been studying solving separation of variable, heat equation and came across 2 set of lambda equation.

zOjJ6G1.png

and
GqgLWND.png

lambda = 0 have the same equation. Is it different?
 
Physics news on Phys.org
Hint, answer to this question:what is the simplest function such that ##\frac{d^2}{dx^2}X(x)=0## ?
 

Similar threads

  • · Replies 12 ·
Replies
12
Views
3K
  • · Replies 6 ·
Replies
6
Views
4K
  • · Replies 5 ·
Replies
5
Views
2K
  • · Replies 9 ·
Replies
9
Views
2K
  • · Replies 4 ·
Replies
4
Views
3K
  • · Replies 5 ·
Replies
5
Views
2K
  • · Replies 3 ·
Replies
3
Views
4K
  • · Replies 2 ·
Replies
2
Views
2K
  • · Replies 4 ·
Replies
4
Views
2K
  • · Replies 2 ·
Replies
2
Views
2K