Change of variables for this derivative in a heat transfer equation

Click For Summary
SUMMARY

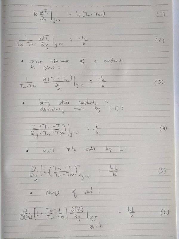
The discussion centers on the change of variables in a heat transfer equation, specifically transitioning from equation 6.5 to 6.5a. Constants involved include thermal conductivity (k), wall temperature (T_w), ambient temperature (T_inf), heat transfer coefficient (h), and characteristic length (L). The key variable is y, representing the distance from the wall. The critical insight provided is that the derivative of the variable transformation, specifically \(\displaystyle {\partial (y/L)\over \partial y}= 1/L\), directly leads to the desired result in equation 6.5a.

PREREQUISITES
  • Understanding of heat transfer principles, particularly conduction and convection.
  • Familiarity with differential calculus, specifically derivatives.
  • Knowledge of variable substitution techniques in mathematical equations.
  • Basic concepts of thermal conductivity and heat transfer coefficients.
NEXT STEPS
  • Study the derivation of heat transfer equations in textbooks focusing on conduction and convection.
  • Learn about variable substitution methods in calculus, particularly in the context of differential equations.
  • Explore the application of the chain rule in derivatives, especially in engineering problems.
  • Investigate the principles of thermal boundary layers and their impact on heat transfer rates.
USEFUL FOR

Students and professionals in mechanical engineering, particularly those specializing in heat transfer analysis, as well as anyone involved in solving differential equations related to thermal systems.

rudy
Messages
45
Reaction score
9
TL;DR
How to perform change of variables for an equation in my textbook. I cannot reproduce their result.
Hello-

In the attached screenshot from my textbook, I am trying to understand how they get from equation 6.5 to 6.5a. I have attached my attempt to solve it, but I am stuck evaluating the left side. I do not see how to get their result.

Relevant information:
k, T_w, T_inf, h and L are all constants.
T (no subscript) and y are the only variables.

Any suggestions are appreciated. If it helps this equation is for heat transfer from a wall to the atmosphere. The idea is that at y = 0 (or on the surface of a plate) the heat transfer by conduction and the heat transfer by convection are equal. This part I understand, I just don't understand their steps.

Thanks for any help,

-rudy
 

Attachments

  • Textbook.png
    Textbook.png
    58.4 KB · Views: 246
  • My attempt.jpg
    My attempt.jpg
    42.9 KB · Views: 247
Physics news on Phys.org
Hi,

With ##\displaystyle {\partial (y/L)\over \partial y}= 1/L## your (6) is their (6a) !
 
  • Like
Likes   Reactions: rudy
Oh snap, thanks BvU. I thought it might be something obvious.
 
  • Like
Likes   Reactions: BvU

Similar threads

  • · Replies 5 ·
Replies
5
Views
3K
  • · Replies 2 ·
Replies
2
Views
2K
  • · Replies 2 ·
Replies
2
Views
3K
  • · Replies 2 ·
Replies
2
Views
2K
  • · Replies 2 ·
Replies
2
Views
2K
  • · Replies 5 ·
Replies
5
Views
2K
  • · Replies 29 ·
Replies
29
Views
5K
  • · Replies 5 ·
Replies
5
Views
2K
Replies
4
Views
4K
  • · Replies 1 ·
Replies
1
Views
2K