Perturbation expansion with path integrals

Click For Summary
SUMMARY

The discussion focuses on the perturbation expansion using path integrals in the context of Advanced Quantum Field Theory, specifically referencing the work of Hugh Osborn. The derived expression for the partition function Z involves a series expansion with derivatives of the inverse matrix A, leading to terms that include potential V. The notes, originally typeset by Steffen Gielen and revised by Carl Turner, lack a clear copyright notice, raising concerns about attribution and intellectual property.

PREREQUISITES
  • Understanding of perturbation theory in quantum mechanics
  • Familiarity with path integrals in quantum field theory
  • Knowledge of matrix calculus, particularly inverse matrices
  • Proficiency in LaTeX for typesetting mathematical expressions
NEXT STEPS
  • Study the derivation of path integrals in quantum field theory
  • Explore advanced topics in perturbation theory
  • Learn about the implications of matrix inverses in quantum mechanics
  • Review copyright and attribution practices in academic publishing
USEFUL FOR

Researchers, graduate students, and educators in theoretical physics, particularly those specializing in quantum field theory and perturbation methods.

saadhusayn
Messages
17
Reaction score
1
Homework Statement
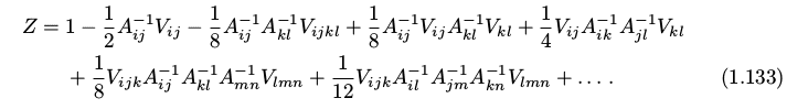
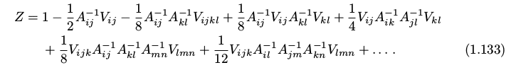
This is from Hugh Osborn's 'Advanced Quantum Field Theory' (attached) notes, Lent 2013, page 15.



I want to evaluate the expression

## Z = \exp\Big(\frac{1}{2} \frac{\partial}{\partial \underline{x}} . A^{-1} \frac{\partial}{\partial \underline{x}} \Big) \exp\Big(-V(x) + \underline{b}. \underline{x}\Big) \bigg\vert_{\underline{x} = \underline{0}}##

assuming that $$\underline{b} = \underline{0}$$.

We use the notation

## V_{i_{1} i_{2} \dots i_{k}} = \frac{\partial}{\partial x_{i_{1}}} \frac{\partial}{\partial x_{i_{2}}} \dots \frac{\partial}{\partial x_{i_{k}}} V(\underline{x})\Big\vert_{\underline{x} = \underline{0}}##

Where

$$\frac{\partial}{\partial \underline{x}} \equiv \Big( \frac{\partial}{\partial x_{1}}, \dots, \frac{\partial}{\partial x_{n}}\Big)$$

We also assume that $$V(\underline{0}) = V_{i}(\underline{0}) = 0$$.



And $$A^{-1}$$ is an $$n \times n$$ matrix.
Relevant Equations
We need to expand the exponential of the derivative as a Taylor series.
I expanded the exponential with the derivative to get:

## Z = \Bigg(1 + \frac{1}{2} \frac{\partial}{\partial x_{i}} A^{-1}_{ij} \frac{\partial}{\partial x_{j}} + \frac{1}{4} \frac{\partial}{\partial x_{i}} A^{-1}_{ij} \frac{\partial}{\partial x_{j}} \frac{\partial}{\partial x_{k}} A^{-1}_{kl} \frac{\partial}{\partial x_{l}} + \frac{1}{12} \frac{\partial}{\partial x_{i}} A^{-1}_{ij} \frac{\partial}{\partial x_{j}} \frac{\partial}{\partial x_{k}} A^{-1}_{kl} \frac{\partial}{\partial x_{l}} \frac{\partial}{\partial x_{m}} A^{-1}_{mn} \frac{\partial}{\partial x_{n}} + \dots\Bigg) \exp(-V(x))\biggr\vert_{\underline{x} = \underline{0}}##

Which comes to

$$ Z = 1 - \frac{1}{2} A^{-1}_{ij} V_{ij} + \frac{1}{4} A^{-1}_{ij} V_{ij} A^{-1}_{kl} V_{kl} + \dots $$

But the answer is
 

Attachments

  • Z.png
    Z.png
    3.5 KB · Views: 331
  • AQFTNotes.pdf
    AQFTNotes.pdf
    1.3 MB · Views: 364
Physics news on Phys.org
I don't see any copyright notice in the notes. There is attribution on the first page, but no copyright or other statements...

Advanced Quantum Field Theory
Lent Term 2013
Hugh Osborn
Latex Lecture notes, originally typeset by
Steffen Gielen in 2007
revised by
Carl Turner in 2013
latest update: May 5, 2016
 

Similar threads

Replies
2
Views
2K
  • · Replies 1 ·
Replies
1
Views
3K
  • · Replies 1 ·
Replies
1
Views
2K
  • · Replies 9 ·
Replies
9
Views
2K
  • · Replies 1 ·
Replies
1
Views
2K
Replies
27
Views
4K
  • · Replies 1 ·
Replies
1
Views
2K
Replies
4
Views
2K
Replies
1
Views
2K
Replies
7
Views
3K