Physical meaning of terms in the Qi, Wu, Zhang model

Click For Summary

Discussion Overview

The discussion centers on the physical meaning of the components of the Hamiltonian in the Qi, Wu, Zhang model, specifically in momentum space. Participants explore the implications of each term in the Hamiltonian and seek clarity on mathematical formatting.

Discussion Character

  • Technical explanation
  • Mathematical reasoning

Main Points Raised

  • One participant presents the Hamiltonian of the Qi, Wu, Zhang model and asks for the physical meaning of each component.
  • Several participants express difficulties with mathematical formatting, suggesting different approaches to formatting the Hamiltonian correctly.

Areas of Agreement / Disagreement

There is no consensus on the physical meaning of the Hamiltonian components, as the discussion primarily revolves around formatting issues rather than the physical interpretation itself.

Contextual Notes

Participants have not yet addressed the physical content of the Hamiltonian terms in detail, and the discussion on formatting may limit the exploration of the underlying physics.

Joker93
Messages
502
Reaction score
37
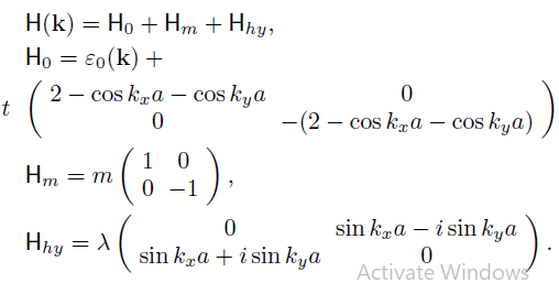
The Hamiltonian of the Qi, Wu, Zhang model is given by(in momentum space):
## H(\vec{k})=(sink_x) \sigma_{x}+(sink_y) \sigma_{y}+(m+cosk_x+cosk_y)\sigma_{z} ## .
What is the physical meaning of each component of this Hamiltonian?

Note: for the real space Hamiltonian(where maybe the analysis of the physical content each of the term is easier), see attached.
 

Attachments

  • Qi, Qu, Zhang real space Hamiltonian.png
    Qi, Qu, Zhang real space Hamiltonian.png
    8.4 KB · Views: 790
Physics news on Phys.org
Could someone help with the math formatting? I can't get it right!
 
Joker93 said:
Could someone help with the math formatting? I can't get it right!
Don't use a bold letter H within ##'s. Use {\bf H} instead.
 
better even \mathbf{H}
 

Similar threads

  • · Replies 4 ·
Replies
4
Views
2K
  • · Replies 1 ·
Replies
1
Views
3K
  • · Replies 1 ·
Replies
1
Views
1K
  • · Replies 6 ·
Replies
6
Views
4K
  • · Replies 2 ·
Replies
2
Views
3K
  • · Replies 11 ·
Replies
11
Views
2K
  • · Replies 2 ·
Replies
2
Views
2K
  • · Replies 1 ·
Replies
1
Views
2K
  • · Replies 8 ·
Replies
8
Views
4K
  • · Replies 26 ·
Replies
26
Views
7K