Physics- velocity/ distance problem?

  • Thread starter Thread starter J.live
  • Start date Start date
  • Tags Tags
    Physics Velocity
Click For Summary

Homework Help Overview

The problem involves an object starting from rest with a time-dependent acceleration described by the equation a = Bt^2 − 1/2Ct. Participants are tasked with finding the object's velocity and distance traveled after 7.5 seconds.

Discussion Character

  • Exploratory, Conceptual clarification, Mathematical reasoning

Approaches and Questions Raised

  • Participants discuss the integration of the acceleration equation to find velocity, with some expressing confusion about the appropriate equations to use given the time-dependent nature of acceleration.

Discussion Status

There is an ongoing exploration of the correct approach to integrate the acceleration function. Some participants have provided hints and guidance on integrating rather than differentiating, while others seek clarification on how to apply the results to find velocity.

Contextual Notes

Participants are navigating the implications of using equations that assume constant acceleration versus those applicable to time-dependent acceleration. There is a mention of specific values for B and C, which may influence the calculations.

J.live
Messages
95
Reaction score
0

Homework Statement



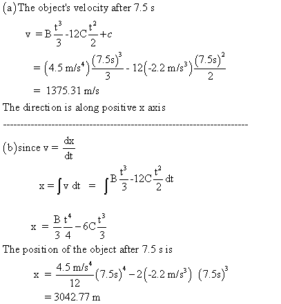
An object starts from rest and has an acceleration given by
a = Bt^2 − 1/2Ct, where B = 4.5 m/s^4 and C = −2.2 m/s^3

(1) What is the object's velocity after 7.5 s? (Indicate the direction with the sign of your answer.)

(2) How far has the object moved after t = 7.5 s?


Homework Equations



v=at


The Attempt at a Solution



I integrated the equation its not coming out right

what am i doing wrong?

If someone can kindly explain.

Here is the attachment
 

Attachments

  • Screen shot 2010-09-13 at 12.57.16 PM.png
    Screen shot 2010-09-13 at 12.57.16 PM.png
    2.7 KB · Views: 473
Last edited:
Physics news on Phys.org
Hint
v=at is valid if acceleration is not time dependent (i.e. it is constant)
 
So, I am using the wrong equation? What equation should i use?
 
you have to integrate the equation not differentiate
 
So i have to integrate a= Bt^2- 1/2Ct?

Do i substitute the answer in equation v=at? Or i can't use that equation at all since a is time dependent.

Can you show some work so I have a better idea?
 
Last edited:
We derive the equation v=u+at assuming that acceleration is constant.
here acceleration is time dependent
dv/dt = a
dv=adt
substitute a with the equation you have
integrate both sides of the equation with limits 0 to v and 0 to t respectively
after this you get an equation of v as a funtion of time.
substitute t=7.5s in this equation to get velocity at that time.
 

Similar threads

  • · Replies 8 ·
Replies
8
Views
2K
  • · Replies 7 ·
Replies
7
Views
2K
  • · Replies 4 ·
Replies
4
Views
2K
  • · Replies 3 ·
Replies
3
Views
1K
  • · Replies 2 ·
Replies
2
Views
1K
  • · Replies 30 ·
2
Replies
30
Views
3K
Replies
5
Views
2K
  • · Replies 5 ·
Replies
5
Views
3K
Replies
26
Views
4K
  • · Replies 16 ·
Replies
16
Views
2K