Physics: wavelength of sound waves

Click For Summary

Homework Help Overview

The discussion revolves around determining the wavelength of sound waves, with specific reference to harmonic relationships and interference patterns. Participants are examining the relevant equations and concepts related to sound wave behavior in different contexts.

Discussion Character

  • Exploratory, Conceptual clarification, Mathematical reasoning, Assumption checking

Approaches and Questions Raised

  • Participants are attempting to apply various formulas related to wavelength and harmonic lengths. There is uncertainty about the correct formula to use, with some questioning the application of the equations presented. Others are exploring the implications of different types of interference on the wavelength calculations.

Discussion Status

The discussion is ongoing, with participants providing insights and corrections regarding the formulas used. Some guidance has been offered regarding the conditions for constructive and destructive interference, but there is still confusion about the application of these concepts in the context of the problem.

Contextual Notes

There appears to be a lack of clarity regarding the specific setup of the problem, particularly whether it involves standing waves or interference from multiple sources. Participants are also grappling with the implications of different harmonic relationships.

YMMMA
Messages
156
Reaction score
10

Homework Statement


Stated in the attached file.

Homework Equations


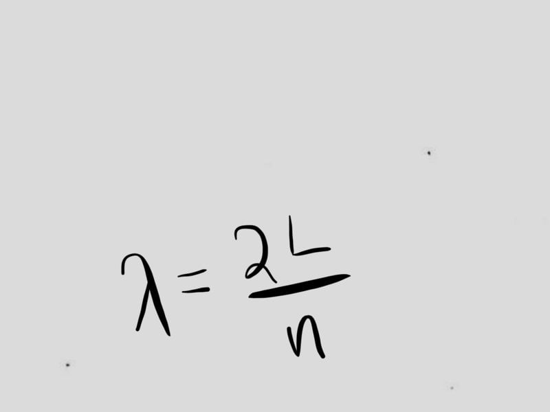
Wavelength = 2 times length divided by harmonic
I don’t know if it’s the relevant equation

The Attempt at a Solution


I used the equation I wrote. So, if the left side is 10cm longer, I guess it might be 2(10).
 

Attachments

  • 9F37DE66-B2C2-4909-A504-64604852B199.jpeg
    9F37DE66-B2C2-4909-A504-64604852B199.jpeg
    29.7 KB · Views: 502
Physics news on Phys.org
20 cm is right, but I'm not sure you used the right formula.
10 cm corresponds to one of 1/2, 3/2, 5/2, ... times the wavelength, only the first option leads to a possible answer.
 
I used this formula, is it the right one?
 

Attachments

  • 7D6FC47E-3800-4C93-97D5-E8876F57D139.jpeg
    7D6FC47E-3800-4C93-97D5-E8876F57D139.jpeg
    7.8 KB · Views: 441
No. That looks like something for constructive interference.
 
mfb said:
20 cm is right, but I'm not sure you used the right formula.
10 cm corresponds to one of 1/2, 3/2, 5/2, ... times the wavelength, only the first option leads to a possible answer.
I think that’s the same rule. If wavelength=2*length / n, where n can be 1,2,3,4,5,6,...(the one wrote in the picture)
It’s basically the same as you said but solving for length not wavelength. I mean, length =1/2 *n*wavelength.
Right?
 
For destructive interference you want the length difference to be (n+1/2) wavelengths where n is an integer: L = (n+1/2)λ or 2L = (2n+1)λ or ##\lambda = \frac{2L}{2n+1}##. Your formula works if you require n in it to be odd.
 
I am confused now. That’s a little bit different from I have learned. Or is this rule for these type of questions?
 

Attachments

  • 25206B94-0411-4858-BC42-BE0E6D6C1519.jpeg
    25206B94-0411-4858-BC42-BE0E6D6C1519.jpeg
    21.3 KB · Views: 446
You do not have a standing wave here. You have two waves from different tubes interfering.
 
  • Like
Likes   Reactions: YMMMA
mfb said:
You do not have a standing wave here. You have two waves from different tubes interfering.
Yes, okay then. Thanks!
 

Similar threads

  • · Replies 5 ·
Replies
5
Views
3K
  • · Replies 29 ·
Replies
29
Views
2K
Replies
20
Views
5K
  • · Replies 4 ·
Replies
4
Views
3K
Replies
7
Views
3K
Replies
3
Views
3K
  • · Replies 7 ·
Replies
7
Views
2K
Replies
10
Views
3K
Replies
1
Views
2K
Replies
4
Views
2K