Position of a point as a function of angular position

Click For Summary

Discussion Overview

The discussion revolves around the mathematical modeling of the position of a point M as a function of angular positions in a mechanical system with three segments. Participants explore the relationships between the angles of rotation of these segments and the resulting coordinates of point M in a three-dimensional space. The scope includes theoretical modeling and mathematical reasoning related to the geometry of the system.

Discussion Character

  • Exploratory
  • Technical explanation
  • Mathematical reasoning

Main Points Raised

  • One participant describes a mechanical setup with three segments and seeks a relationship for the position of point M as a function of the angles of rotation around two axes.
  • Another participant suggests laying out the rods in a specific configuration to aid in visualizing the problem.
  • A participant clarifies the use of angles in their setup, indicating that two degrees of freedom exist for the rotations around the a and c axes.
  • One participant provides a general case analysis using polar coordinates to express the coordinates of the ends of the rods based on their angles and lengths.
  • Another participant expresses confusion regarding the setup of angles and seeks clarification on how to represent movements in an Excel file.
  • A later reply acknowledges a sketch that helped clarify the problem, indicating a process of rotation for the segments.
  • One participant notes the challenge of determining the z position when one of the angles is set to 90 degrees and expresses difficulty visualizing the effect of rotation on the position of segment d3.
  • Another participant discusses the initial position of the segments and how the coordinates of point M change with the rotations, emphasizing the need for careful consideration of the signs based on angle definitions.

Areas of Agreement / Disagreement

Participants express varying levels of understanding and clarity regarding the setup and mathematical relationships. There is no consensus on the best approach to model the position of point M, and multiple interpretations and methods are presented.

Contextual Notes

Some participants express uncertainty about the definitions of angles and their relationships, and there are unresolved aspects regarding the mathematical expressions for the coordinates of point M. The discussion includes different configurations and assumptions that may affect the outcomes.

Andrea Vironda
Messages
69
Reaction score
3
Hi,
I have this scheme, in which there are 3 segments:
- I is coaxial to c axis and free to rotate in the origin. Length d1
- II is coaxial with a axis and free to rotate around c axis. There a fixed angle θ between a and c axis. Length d2
- III is welded to II, it's the PM segment. α is fixed between a axis and segment III. Length d2

Both a and c axis are free rotate of about 10" per step, so they have not continuous movement. About 130.000 possible position for a 360 deg rotation.
I'd like to find a relation between position of point M in function of angles: so ##M(x,y,z)=f(\alpha, \gamma)## where ##\alpha = a_{axis}## angular position and ##\gamma = c_{axis}## angular position, ##0 \leq \gamma, \alpha \lt 360 ° ##

How could i proceed?
I can easily achieve the result fixing c axis and only rotating a axis, but i don't know how to combine them together.
For example, if a axis is fixed i will obtain ##x^2 + z^2 = (d_3+d_2 \cos\theta)^2##
 

Attachments

  • IMG_20201204_205730.jpg
    IMG_20201204_205730.jpg
    31.5 KB · Views: 236
Last edited:
Physics news on Phys.org
Hi. Laying intermediate ##C_2## rod on X axis and ##d_1## rod on XY plane would be helpful. See attached figure.
 

Attachments

  • img20201206_08145602.jpg
    img20201206_08145602.jpg
    77 KB · Views: 218
Last edited:
Hi,
I noticed I used ## \alpha## twice. It's the angle of rotation of d2 and d3 around a axis. It's not the angle between d2 and d3 (that's a constant angle). The 2 degree of freedom are the rotations around a and c axis.
 
Hi. I am not sure I catch your setting, so I would say about general case.

Rod 1 with one end is fixed with Origin by free joint:
The (x,y,z) coordinate of the other end, using the polar coordinate :
[tex](r_1 cos\theta_1, r_1\sin\theta_1\cos\phi_1,r_1\sin\theta_1\cos\phi_1)=\mathbf{r_1}[/tex]

Rod 2 with one end is fixed with free end of rod1 by free joint:
The coordinate of the other end:
[tex](r_1 cos\theta_1, r_1\sin\theta_1\cos\phi_1,r_1\sin\theta_1\sin\phi_1)+<br /> (r_2 cos\theta_2, r_2\sin\theta_2\cos\phi_2,r_2\sin\theta_2\sin\phi_2) =\mathbf{r_1}+\mathbf{r_2}[/tex]

rod 3 with one end is fixed with free end of rod2 by free joint:
The coordinate of the other end:
[tex](r_1 cos\theta_1, r_1\sin\theta_1\cos\phi_1,r_1\sin\theta_1\sin\phi_1)+<br /> (r_2 cos\theta_2, r_2\sin\theta_2\cos\phi_2,r_2\sin\theta_2\sin\phi_2)<br /> +(r_3 cos\theta_3, r_3\sin\theta_3\cos\phi_3,r_3\sin\theta_3\sin\phi_3) =\mathbf{r_1}+\mathbf{r_2}+\mathbf{r_3}[/tex]

Constraints of the angle between rod1 and rod2,
[tex]\mathbf{r_1}\cdot\mathbf{r_2}=r_1 r_2 \ cos \alpha_{12}[/tex]
[tex]\cos\theta_1\cos\theta_2+sin\theta_1\sin\theta_2(cos\phi_1cos\phi_2+\sin\phi_1\sin\phi_2)=\cos\alpha_{12}[/tex]
[tex]\cos\theta_1\cos\theta_2+sin\theta_1\sin\theta_2 cos(\phi_2-\phi_1)=\cos\alpha_{23}[/tex]
,rod 2 and rod3
[tex]\mathbf{r_2}\cdot\mathbf{r_3}=r_2 r_3 \ cos \alpha_{23}[/tex]
[tex]\cos\theta_2\cos\theta_3+sin\theta_2\sin\theta_3(cos\phi_2cos\phi_3+\sin\phi_2\sin\phi_3)=\cos\alpha_{23}[/tex]
[tex]\cos\theta_2\cos\theta_3+sin\theta_2\sin\theta_3 cos(\phi_3-\phi_2)=\cos\alpha_{23}[/tex]
 
Hi,
sorry but I can't understand how you set up angles, etc..
I've found a better image. How to outline the possible movements on an excel file?
1607339423281.png
 
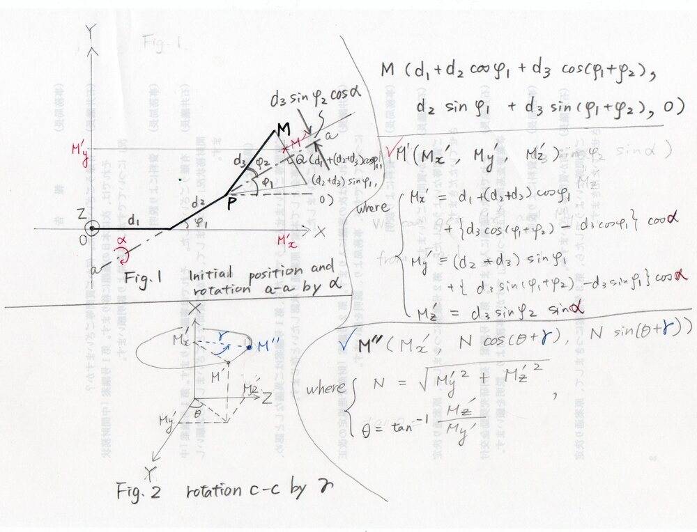
@Andrea Vironda Thanks for your sketch. Now I think I understand the problem. I consider the process of rotation a-a by ##\alpha## : M to M' then rotation c-c by ##\gamma## : M' to M" as attached.
 

Attachments

  • img20201209_15223462.jpg
    img20201209_15223462.jpg
    77 KB · Views: 181
Last edited:
Consider that d1 and d3 are parallel at ##\alpha, \beta = 0##. In my attachment there's the correct position in M, but when i have ##\alpha = 90## I can't find the z position.
I can't imagine in my mind how much d3 is raised by ##\alpha## rotation
 

Attachments

  • IMG_20201209_213352.jpg
    IMG_20201209_213352.jpg
    40.5 KB · Views: 189
Hi. From your sketch attached, I see the problem says ##\phi_2=\phi_1=\phi## in my previous post.[tex]M[\alpha=0,\gamma=0]=(d_1+d_2 \cos\phi+d_3 cos 2\phi,\ d_2 sin\phi+d_3 sin 2\phi,\ 0)[/tex]

As an initial position I take upper-full bent position and you take downer-parallel position, but they show no difference in essence. I will follow your way so as you said

[tex]M[\alpha=0,\gamma=0]=(d_1+d_2 \cos\phi+d_3, \ -d_2 sin\phi,\ 0)[/tex]

Rotation with a-a axis by ##\alpha##. M flies up above XY plane and draw a circle of radius ##d_3 sin\phi##. P and the circle make a cone. Height of M (Z) is ##d_3 \ sin\phi \ \sin\alpha##. You should put plus minus signs in front depending on your definition of ##\alpha## turning direction.
You observe M draws a "standing" circle so X and Y coordinates also change with ##\alpha##. Careful consideration is needed as written in my sketch.
 
Last edited:

Similar threads

  • · Replies 1 ·
Replies
1
Views
2K
  • · Replies 6 ·
Replies
6
Views
3K
  • · Replies 20 ·
Replies
20
Views
3K
Replies
25
Views
3K
  • · Replies 8 ·
Replies
8
Views
2K
  • · Replies 4 ·
Replies
4
Views
2K
  • · Replies 3 ·
Replies
3
Views
3K
  • · Replies 4 ·
Replies
4
Views
3K
  • · Replies 39 ·
2
Replies
39
Views
3K
  • · Replies 6 ·
Replies
6
Views
4K