Potential difference between the center of a sphere and a point 4.0 cm away?

Click For Summary

Homework Help Overview

The discussion revolves around calculating the potential difference between the center of a sphere and a point located 4.0 cm away. The subject area involves electrostatics, particularly the concepts of electric potential and electric fields related to spherical charge distributions.

Discussion Character

  • Exploratory, Conceptual clarification, Mathematical reasoning, Assumption checking

Approaches and Questions Raised

  • Participants explore the use of the formula V = KQ / r and question its applicability in this context. There is discussion about integrating the electric field to find the potential, with some participants expressing confusion about why direct substitution into the formula does not yield the correct answer.

Discussion Status

The discussion is ongoing, with participants providing insights into the differences between calculating potential at a point versus the potential difference. Some guidance has been offered regarding the need to consider the contributions of charges within and outside the radius in question.

Contextual Notes

Participants note that the potential at the origin is considered to be zero for a nonconducting sphere, and there is a mention of the electric field being zero at that point. The discussion also touches on the relative nature of electric potential and the standard convention of taking the potential at infinity to be zero.

hidemi
Messages
206
Reaction score
36
Homework Statement
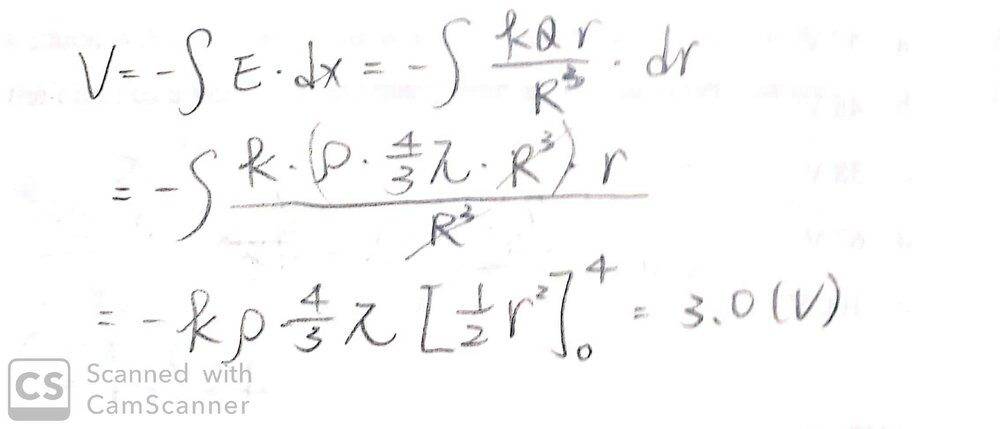
A nonconducting sphere of radius 10 cm is charged uniformly with a density of 100 nC/m^3. What is the magnitude of the potential difference between the center and a point 4.0 cm away?

The answer is 3.0 V.
Relevant Equations
V = kQ / r
I can use integral as attached to obtain the answer.
However, I wonder why I can not use " V = KQ / r " the get the correct answer.
Thanks.
 

Attachments

  • 1.jpg
    1.jpg
    23.3 KB · Views: 288
Physics news on Phys.org
hidemi said:
However, I wonder why I can not use " V = KQ / r " the get the correct answer.
Thanks.
How exactly did you use that? E.g. what value for Q?
 
The Q value I plug in is density*4pi/3*r^3, so V = k (density*4pi/3*r^2)
My confusion is that instead of using V = kQ/r directly, we integrate electric field (E) to calculate the potential (V) to obtain the correct answer?
 
hidemi said:
The Q value I plug in is density*4pi/3*r^3, so V = k (density*4pi/3*r^2)
My confusion is that instead of using V = kQ/r directly, we integrate electric field (E) to calculate the potential (V) to obtain the correct answer?
kQ/r would be the potential at a point P at radius r, ignoring any charges outside radius r, and taking the potential at infinity to be zero. This is not the same as finding the potential difference between P and the origin, O.
There is a potential due to the charges beyond radius r, but that is the same for both P and O. The difference is that the sphere within radius r creates a potential at O. Since you want the difference in potentials, this needs to be subtracted from kQ/r.
 
haruspex said:
kQ/r would be the potential at a point P at radius r, ignoring any charges outside radius r, and taking the potential at infinity to be zero. This is not the same as finding the potential difference between P and the origin, O.
There is a potential due to the charges beyond radius r, but that is the same for both P and O. The difference is that the sphere within radius r creates a potential at O. Since you want the difference in potentials, this needs to be subtracted from kQ/r.
I know V at origin is 0 for nonconducting sphere. I just wonder why can't we plug in 0.04m directly into the equation to get the potential difference, instead we need to integrate the electric field from 0-0.04m to calculate the potential?
 
$$V(B)-V(A)=-\int_{\vec r_A}^{\vec r_B} \vec E \cdot d\vec l$$
Let's compute ##\vec E##
 
hidemi said:
I know V at origin is 0 for nonconducting sphere.
No, the field there is zero.
Potential is, in principle, relative. A common standard is to take the potential at infinity to be zero. Everywhere else, it is the sum of potentials due to all charges present.
If the only charge being considered is Q on a spherical shell radius R then the potential everywhere in the shell is kQ/R.
 
  • Like
Likes   Reactions: hidemi
haruspex said:
No, the field there is zero.
Potential is, in principle, relative. A common standard is to take the potential at infinity to be zero. Everywhere else, it is the sum of potentials due to all charges present.
If the only charge being considered is Q on a spherical shell radius R then the potential everywhere in the shell is kQ/R.
Thanks a lot.
 

Similar threads

Replies
9
Views
1K
Replies
12
Views
2K
  • · Replies 22 ·
Replies
22
Views
4K
Replies
2
Views
401
Replies
13
Views
2K
Replies
5
Views
1K
  • · Replies 14 ·
Replies
14
Views
3K
Replies
2
Views
779
  • · Replies 8 ·
Replies
8
Views
10K