Potential Inside and Outside of a Charged Spherical Shell

Click For Summary
SUMMARY

The discussion centers on the potential inside and outside of a charged spherical shell, specifically addressing the role of surface charge density (σ) and Legendre polynomials in determining electric potential. The participants emphasize that without a defined surface charge distribution, one cannot effectively utilize orthogonality properties of Legendre polynomials to simplify calculations. Two specific cases are highlighted: a uniform surface charge leading to a 1/r potential where only P0 is relevant, and a charge distribution of σ(θ) = σ0cosθ resulting in a 1/r² potential where only P1 is significant. The conclusion stresses the necessity of knowing the surface charge distribution to derive meaningful results.

PREREQUISITES
  • Understanding of electric potential and its relation to charge distributions
  • Familiarity with Legendre polynomials and their orthogonality properties
  • Basic knowledge of spherical coordinates and their applications in physics
  • Concept of surface charge density (σ) and its implications in electrostatics
NEXT STEPS
  • Study the derivation of electric potential from surface charge distributions
  • Learn about the applications of Legendre polynomials in solving electrostatic problems
  • Explore the implications of different charge distributions on potential calculations
  • Investigate the mathematical techniques for solving boundary value problems in electrostatics
USEFUL FOR

Students and professionals in physics, particularly those focusing on electrostatics, as well as educators seeking to clarify concepts related to electric potential and charge distributions.

jkthejetplane
Messages
29
Reaction score
4
Homework Statement
I need help on this question that i thought i understood but i really dont. A semi similar example in the book started to spark some brain juice but i ended up more confused than when i started.
Relevant Equations
Legendre polynomials
1617429111262.png

So here was my first go around at it:
1617429419413.png

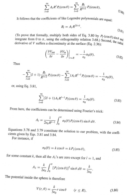
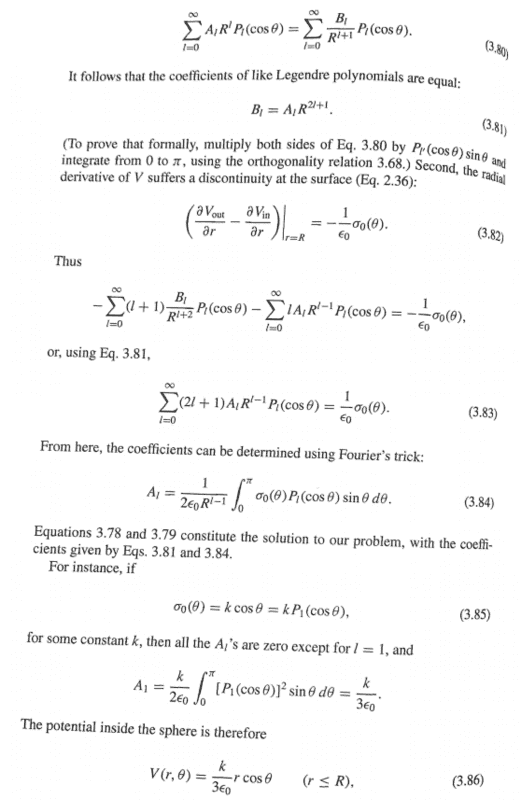
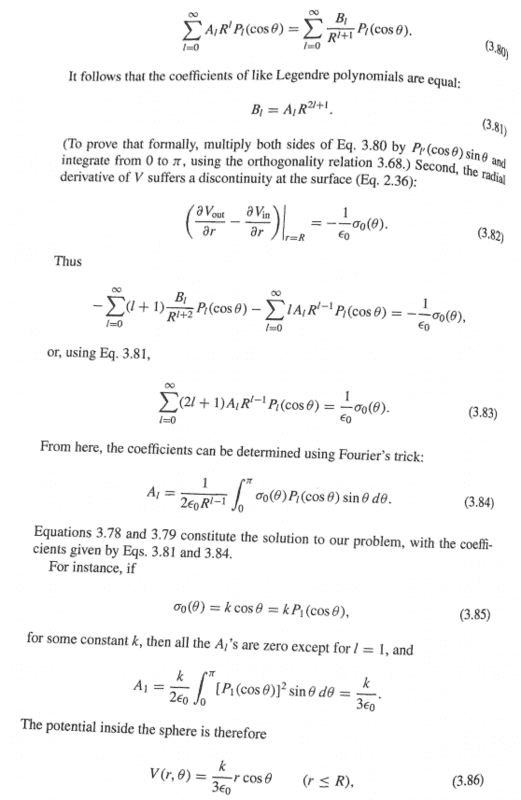
At first it made sense in my head but don't think my process is correct. Then i noticed the example in the book:
1617429709706.png

1617429772199.png

1617429798846.png

I guess the reasoning isn't 100% there in my head and if i don't have an actual σ, how will i cancel out any legendre polynomials due to orthogonality?
 
Last edited by a moderator:
Physics news on Phys.org
jkthejetplane said:
Homework Statement:: I need help on this question that i thought i understood but i really dont. A semi similar example in the book started to spark some brain juice but i ended up more confused than when i started.
Relevant Equations:: Legendre polynomials

View attachment 280846
So here was my first go around at it:
View attachment 280849
At first it made sense in my head but don't think my process is correct. Then i noticed the example in the book:
View attachment 280850
View attachment 280851
View attachment 280852
I guess the reasoning isn't 100% there in my head and if i don't have an actual σ, how will i cancel out any legendre polynomials due to orthogonality?
You cannot cancel any Legendre polynomials without knowing σ(θ). Take two simple cases that you can do in your head.
1. Uniform density over the sphere implies a 1/r potential and only P0 is non-zero.
2. σ(θ)=σ0cosθ implies a 1/r2 potential and only P1 is non-zero.

In short, if you don't know the surface charge distribution and you don't know the potential, you don't know nuttin'.
 
But you know the surface-charge distribution,
$$\sigma(\vartheta)=\sigma_0 \Theta(0 \leq \vartheta \leq \pi/2).$$
Now you can just use the solution for the coefficients posted in #1.
 
  • Like
Likes   Reactions: vela and Orodruin

Similar threads

Replies
5
Views
1K
  • · Replies 2 ·
Replies
2
Views
5K
  • · Replies 2 ·
Replies
2
Views
2K
  • · Replies 1 ·
Replies
1
Views
8K
  • · Replies 3 ·
Replies
3
Views
2K
  • · Replies 6 ·
Replies
6
Views
2K
  • · Replies 14 ·
Replies
14
Views
14K
  • · Replies 3 ·
Replies
3
Views
4K
Replies
4
Views
5K
  • · Replies 7 ·
Replies
7
Views
3K