Potential of an undefinided cylinder

Click For Summary

Homework Help Overview

The discussion revolves around determining the electric potential created by an infinitely long cylinder of radius R and uniform volume charge density ρ. Participants are exploring the application of Gauss's law in this context, particularly focusing on the implications of the cylinder being "undefined" or "infinitely long." There is an emphasis on calculating the potential in relation to the electric field both inside and outside the cylinder.

Discussion Character

  • Exploratory, Conceptual clarification, Mathematical reasoning, Problem interpretation

Approaches and Questions Raised

  • Participants are attempting to apply Gauss's law to derive the electric field and potential. Questions arise regarding the interpretation of the problem statement, particularly the term "undefined." There are discussions about the electric field expressions for points inside and outside the cylinder, and the relationship between electric field and electric potential is being examined.

Discussion Status

Some participants have provided guidance on integrating to find the potential, while others are still working through their calculations. There is a recognition of the need to clarify the potential at points outside the cylinder, and some productive direction has been given regarding the integration process.

Contextual Notes

Participants are navigating constraints related to the definitions and assumptions about the cylinder's characteristics, particularly its infinite length and uniform charge distribution. There is also a mention of the choice of reference point for potential, which may influence the calculations.

Guillem_dlc
Messages
188
Reaction score
17

Homework Statement


Determine the potential that creates an undefined cylinder of radius $R$ and density density $\rho$ that is uniformly charged.

Homework Equations


Gauss's law.

The Attempt at a Solution


I know that for this problem I can use gauss because it is a cylinder, now I do not get anywhere right, it is also a question of calculating the potential. Some help? Besides, the indefinite thing confuses me a little ...
 
Physics news on Phys.org
I venture to guess that the problem statement is to be interpreted as asking for the potential created by an infinitely long cylinder of radius ##R## and uniform volume charge density ##\rho##.

Please show the details of your attempt of using Gauss' law.
 
TSny said:
I venture to guess that the problem statement is to be interpreted as asking for the potential created by an infinitely long cylinder of radius ##R## and uniform volume charge density ##\rho##.

Please show the details of your attempt of using Gauss' law.
Yes, of course I'll pass it to you. I think that's fine by now.
 

Attachments

  • 1.jpg
    1.jpg
    20 KB · Views: 390
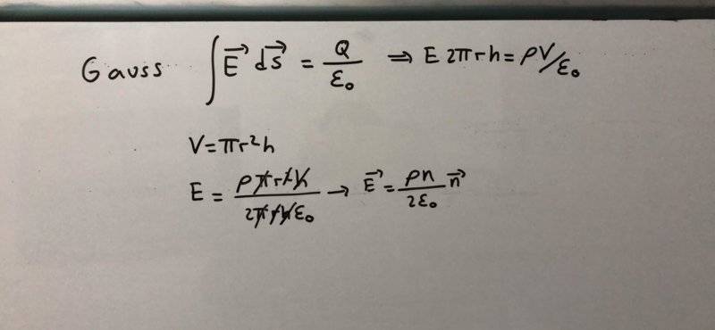
It's preferable to type out your equations rather than post pictures. That way, we can easily quote specific parts of your calculations.

In your final expression for ##\vec E##, I take it that the symbol circled in green
upload_2018-3-19_16-49-23.png
should be ##r##. If so, then it looks OK. But is this the electric field at a point inside the cylinder or at a point outside the cylinder?
 

Attachments

  • upload_2018-3-19_16-49-23.png
    upload_2018-3-19_16-49-23.png
    970 bytes · Views: 744
TSny said:
It's preferable to type out your equations rather than post pictures. That way, we can easily quote specific parts of your calculations.

In your final expression for ##\vec E##, I take it that the symbol circled in green View attachment 222331 should be ##r##. If so, then it looks OK. But is this the electric field at a point inside the cylinder or at a point outside the cylinder?
Yes it is a [ tex ] r [ / tex ] sorry it is not clear. It's the field for the interior I think.
 
Guillem_dlc said:
It's the field for the interior I think.
OK, that's correct. Are you trying to get the potential at a point inside the cylinder, outside the cylinder, or both?

What is the connection between electric field and electric potential?
 
TSny said:
OK, that's correct. Are you trying to get the potential at a point inside the cylinder, outside the cylinder, or both?

What is the connection between electric field and electric potential?
We have seen that ##\vec{E}=\rho \dfrac{r}{2\varepsilon_0}\vec{r}## is in the inside of the cylinder.
Also, ##E2\pi rh=\dfrac{1}{\varepsilon_0}\rho V\Rightarrow E=\dfrac{\rho \pi R^2h}{2\pi rh\varepsilon_0}\Rightarrow \vec{E}=\dfrac{\rho R^2}{2\varepsilon_0r}\vec{r}## is outside the cylinder.
The connection between electric field and electric potential: one is the derivative of the other, is not it? Would I have to integrate in this case? But I do not know anymore.
 
  • #10
Please show your work.
 
  • #11
TSny said:
Please show your work.
I have solved the ##V (r)## for ##r <R## (inner points).
##V(r)=\int_r^0 \vec{E}\cdot d\vec{l}=\int_r^0\dfrac{\rho r}{2\varepsilon_0}\vec{a}_r\cdot d\vec{l}=\dfrac{\rho}{2\varepsilon_0}\int_r^0rdr=\dfrac{\rho}{2\varepsilon_0}\left[ \dfrac{r^2}{2}\right] _r^0=-\dfrac{\rho r^2}{4\varepsilon_0}##
 
  • #12
Guillem_dlc said:
I have solved the ##V (r)## for ##r <R## (inner points).
##V(r)=\int_r^0 \vec{E}\cdot d\vec{l}=\int_r^0\dfrac{\rho r}{2\varepsilon_0}\vec{a}_r\cdot d\vec{l}=\dfrac{\rho}{2\varepsilon_0}\int_r^0rdr=\dfrac{\rho}{2\varepsilon_0}\left[ \dfrac{r^2}{2}\right] _r^0=-\dfrac{\rho r^2}{4\varepsilon_0}##
This looks right. Note that you are taking the potential to be zero at ##r = 0##, which is a good choice for this problem.
 
  • #13
Have you also been able to get the potential at points outside the cylinder?
 
  • #14
No
 
  • #15
Guillem_dlc said:
No
What is it about points outside the cylinder that is making it difficult to find the field and potential?
 

Similar threads

Replies
26
Views
2K
  • · Replies 1 ·
Replies
1
Views
3K
Replies
4
Views
5K
  • · Replies 3 ·
Replies
3
Views
3K
  • · Replies 1 ·
Replies
1
Views
3K
  • · Replies 3 ·
Replies
3
Views
2K
  • · Replies 5 ·
Replies
5
Views
977
  • · Replies 1 ·
Replies
1
Views
2K
  • · Replies 1 ·
Replies
1
Views
5K
  • · Replies 36 ·
2
Replies
36
Views
2K