Power series - Different problem

Click For Summary

Discussion Overview

The discussion revolves around the convergence of a power series, specifically examining the behavior of the series at the point x = 2. Participants analyze the application of the ratio test and the implications of the results for convergence and divergence, exploring the conditions under which the series converges.

Discussion Character

  • Technical explanation
  • Debate/contested

Main Points Raised

  • One participant claims that the ratio test leads to |x-2| times infinity, suggesting divergence and no interval of convergence.
  • Another participant argues that at x = 2, the limit is multiplied by 0, which raises questions about the convergence at that point.
  • There is a suggestion that the absolute value in the limit is unnecessary since all terms are positive.
  • A participant expresses confusion about the interpretation of the limit at x = 2, questioning how it can be considered convergent if it results in 0 times infinity.
  • One participant provides the series explicitly and states that if x = 2, every term becomes 0, leading to the conclusion that the series is convergent.

Areas of Agreement / Disagreement

Participants express differing views on the convergence of the series at x = 2, with some asserting divergence based on the ratio test and others arguing for convergence based on the specific evaluation of the series at that point. The discussion remains unresolved regarding the correct interpretation of the convergence behavior.

Contextual Notes

There are unresolved questions about the application of the ratio test and the implications of limits involving 0 and infinity. The discussion highlights potential ambiguities in the original problem statement and the definitions used.

Neon32
Messages
68
Reaction score
1
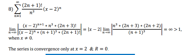
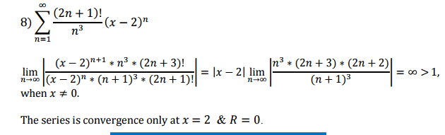
In the power series below, I've used the ratio test and at the end I got |x-2| times infinity which is >1 so it diverges.. and in this case there is no interval of convergence because it's times inifnity.. How did he conclude that it converges at x=2??

upload_2017-3-28_21-27-2.png
 

Attachments

  • upload_2017-3-28_21-24-43.png
    upload_2017-3-28_21-24-43.png
    7.9 KB · Views: 501
Physics news on Phys.org
Neon32 said:
In the power series below, I've used the ratio test and at the end I got |x-2| times infinity which is >1 so it diverges.. and in this case there is no interval of convergence because it's times inifnity.. How did he conclude that it converges at x=2??

View attachment 115211
Because at x = 2, the limit is mulitplied by 0, and the part that says "when x ≠ 0" really should say "when x ≠ 2".

I should add that the absolute value on the fraction inside the limit is unnecessary. All the terms are positive, so the | | signs can be removed.

And, the writer's grasp of English is not very good. It should say, "The series is convergent at ..." or "The series converges at ..."
 
Mark44 said:
Because at x = 2, the limit is mulitplied by 0, and the part that says "when x ≠ 0" really should say "when x ≠ 2".

I should add that the absolute value on the fraction inside the limit is unnecessary. All the terms are positive, so the | | signs can be removed.

And, the writer's grasp of English is not very good. It should say, "The series is convergent at ..." or "The series converges at ..."

I'm not sure if I got the first line well. if x=2 the limit will be multiplied by 0 so at the end we'll get 0 times inifnity. How is that convergent? Please elaborate. Thanks for your help!
 
Here's the series:
$$\sum_{n = 1}^\infty \frac{(2n + 1)!}{n^3}(x - 2)^n$$
If x = 2, every term in the series is 0, so the sum of the series is 0, and it is therefore convergent.
 

Similar threads

  • · Replies 3 ·
Replies
3
Views
4K
  • · Replies 7 ·
Replies
7
Views
3K
  • · Replies 6 ·
Replies
6
Views
4K
  • · Replies 5 ·
Replies
5
Views
3K
  • · Replies 3 ·
Replies
3
Views
2K
Replies
1
Views
2K
  • · Replies 5 ·
Replies
5
Views
3K
  • · Replies 17 ·
Replies
17
Views
6K
  • · Replies 5 ·
Replies
5
Views
1K
  • · Replies 5 ·
Replies
5
Views
2K