Pressure caused by beam of molecular oxygen

Click For Summary
SUMMARY

The discussion focuses on calculating the pressure exerted by a beam of molecular oxygen containing 1010 molecules/cm3 and moving at an average speed of 500 m/s, striking a plate at a 30º angle. The relevant equation for pressure is P = Impulse x Flux, but the standard gas pressure equation does not apply due to the beam's directional nature. Key steps include calculating the mass of the oxygen molecule, determining the number of particles striking the plate per second at the given angle, and computing the momentum change for each particle to derive the pressure.

PREREQUISITES
  • Understanding of molecular physics, specifically elastic collisions.
  • Familiarity with the concepts of pressure and momentum in physics.
  • Ability to apply vector diagrams for momentum calculations.
  • Knowledge of basic gas properties, including density and molecular mass.
NEXT STEPS
  • Calculate the mass of an oxygen molecule (O2) using its molar mass.
  • Learn how to compute the number of particles per second striking a surface at an angle.
  • Study the relationship between force, momentum, and pressure in fluid dynamics.
  • Explore vector diagrams to visualize momentum changes in colliding particles.
USEFUL FOR

Students studying physics, particularly those focusing on fluid dynamics and gas behavior, as well as educators seeking to explain the principles of pressure and momentum in elastic collisions.

TheGreatExplainer

Homework Statement


A beam of molecular oxygen containing 1010 molecules/cm3 and average speed of 500 m/s strikes (elastic collision) a plate at an angle of 30º with the normal direction.
Calculate the exerted pressure on the plate.

Homework Equations


P = Impluse x Flux

The Attempt at a Solution


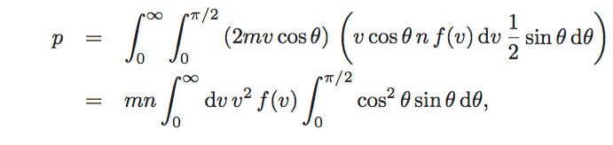
I tried to use the equation in the attached file but in this case we have a constant angle so I can´t just simply integrate.

Any help would be appreciated.
 

Attachments

  • Captura de ecrã 2017-11-03, às 15.41.35.png
    Captura de ecrã 2017-11-03, às 15.41.35.png
    9 KB · Views: 544
Last edited by a moderator:
Physics news on Phys.org
TheGreatExplainer said:

Homework Statement


A beam of molecular oxygen containing 1010 molecules/cm3 and average speed of 500 m/s strikes (elastic collision) a plate at an angle of 30º with the normal direction.
Calculate the exerted pressure on the plate.

Homework Equations


P = Impluse x Flux

The Attempt at a Solution


I tried to use the equation in the attached file but in this case we have a constant angle so I can´t just simply integrate.

Any help would be appreciated.
The equation you have in the "link" looks like it is for the pressure that a gas has when it is inside a container. It does not apply here. In some ways this problem is easier, because the beam is only going in one direction, and every particle has the same velocity. ## \\ ## First of all, you need to compute ## m ## for the molecule. ## \\ ## Next, the number of incident particles/unit time per unit area will be decreased from that of the normal direction because of the ## 30^o ## angle. The first thing you need though is the number of particles per second per unit area that cross the plane normal to the beam. Then find the number per second incident at the surface tilted at ## 30^o ##. You then need to compute the momentum change of each particle. Once you have that, it should start to come together. ## \\ ## An additional input: Since Force is equal to the rate of change of momentum, the Pressure, which is force/area, should equal to the rate of change of momentum per unit area=you need to find how much the momentum is changing per second per unit area. ## \\ ## Suggestion: Draw a vector diagram to compute the momentum change of each molecule.
 
Last edited:

Similar threads

Replies
1
Views
10K
  • · Replies 3 ·
Replies
3
Views
5K
  • · Replies 3 ·
Replies
3
Views
2K
  • · Replies 6 ·
Replies
6
Views
2K
  • · Replies 1 ·
Replies
1
Views
6K
Replies
1
Views
11K
  • · Replies 10 ·
Replies
10
Views
3K
Replies
3
Views
2K
Replies
10
Views
4K
  • · Replies 1 ·
Replies
1
Views
7K