Problem Related to Photons with Mass

Click For Summary

Homework Help Overview

The discussion revolves around a problem related to the behavior of photons, particularly focusing on calculations involving Lorentz boosts and the resulting matrices. Participants are examining the implications of signs in their calculations and the potential for typos in the source material.

Discussion Character

  • Exploratory, Assumption checking, Problem interpretation

Approaches and Questions Raised

  • Participants are attempting to calculate matrices related to Lorentz boosts and are questioning the presence of minus signs in their results. There is a discussion about whether these signs are due to typos in the reference material or if they arise from the nature of the vectors involved.

Discussion Status

Some participants have revisited their calculations and expressed uncertainty about the presence of minus signs, suggesting that they may have been introduced through errors in their work. Others are exploring the definitions of covariant and contravariant vectors in relation to the problem, indicating a productive examination of the underlying concepts.

Contextual Notes

There is mention of specific equations and matrices from a textbook, which may contain errors. Participants are also considering the implications of the massless nature of photons in their calculations.

diffidus
Messages
5
Reaction score
1
Homework Statement
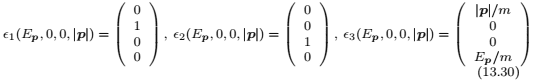
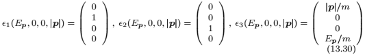
I am trying to understand example 13.6 given in the book 'Quantum Field Theory for the Gifted Amateur' by Lancaster and Blundell. The problem is: Consider a massive photon in the rest frame so that P^μ=([m,0,0,0). If we boost the particle in the z direction to P^μ=([E,0,0,p) can we calculate the product of the polarisation vectors:
Relevant Equations
I have included the relevant equations below. I tried multiplying the matrices together but could not get the correct answer. Is there anybody out there that can help?
Before boost we have
1705446058588.png

Then using the Lorentz boost:
1705446402498.png

I want to calculate:

1705446519033.png

I tried multiplying the matrices together but I never get the stated answer which should be:

1705446624839.png
 
Physics news on Phys.org
I get the stated answer except the minus signs. Just using the result of the previous example:
1705452372876.png
 
  • Like
Likes   Reactions: PeroK
Hill said:
I get the stated answer except the minus signs. Just using the result of the previous example:
View attachment 338712
Hill

So I think you got your result by using the previous example values for ε as you have said. Then, I assume you carried out the product sum with with λ =1,3. Thanks for this answer, it gets me closer but then there is still the annoying minus signs, which makes me think there must be another subtlety and that worries me.
 
diffidus said:
the annoying minus signs
I think they are a typo.
 
  • Like
Likes   Reactions: diffidus
Hill said:
I think they are a typo.
That would be great, but I am not certain since in the book that I refer to, it also gives the product involving εε in terms of a projection operator:
1705510713921.png

and that
1705510999703.png

When I use this method it gives the matrix including the minus signs. So I am still not confident. Anyhow, thanks for your effort, it is really appreciated.
 
diffidus said:
When I use this method it gives the matrix including the minus signs.
Could you show how it gives the minus signs? I don't see it.
 
  • Like
Likes   Reactions: diffidus
Hill said:
Could you show how it gives the minus signs? I don't see it.
Apologies - I looked back at my calculation and it appears that I managed to get a minus sign in there. I have redone the calculation and I now get positive values and so I am now completely on the same page as you. In the matrix quoted in the book - it must be a typo. Thanks very much for your help in solving a frustrating problem.
 
Hill said:
Could you show how it gives the minus signs? I don't see it.
I feel a bit like a bad penny now but I have looked over my calculation and I can now see where the minus signs come from.
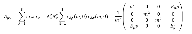
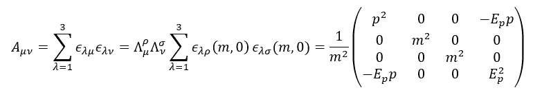
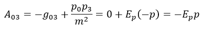
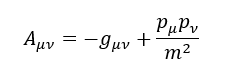
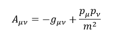
The problem is given in terms of a boost in the z-direction:
1705605199925.png

From this we get:

1705605311588.png

Which can be calculated independently using:

1705605377518.png

Using this second method the minus signs in the A matrix arise since in the projection formula the momentum vectors are covariant and so should be:
1705605539257.png

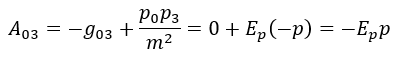
So for example:

1705605617413.png

Similarly for A30.
The bad news is this still leaves me with the original problem! The good news, however, is that I think I have spotted the issue.

In the original problem equation 13.29 gives the boost matrix as (multiplied by 1/m):

1705605850554.png

However, I think there is a typo here as it should be:

1705605929161.png


When this boost matrix is used and followed through the rest of the derivation everything is resolved - phew!

Once again thanks for your help with this it has helped me a lot as it got me to think about my calculations and, naively, I never considered typos.
 

Attachments

  • 1705605180141.png
    1705605180141.png
    1.7 KB · Views: 119
  • Like
Likes   Reactions: Hill
diffidus said:
I feel a bit like a bad penny now but I have looked over my calculation and I can now see where the minus signs come from.
The problem is given in terms of a boost in the z-direction:
View attachment 338787
From this we get:

View attachment 338788
Which can be calculated independently using:

View attachment 338789
Using this second method the minus signs in the A matrix arise since in the projection formula the momentum vectors are covariant and so should be:
View attachment 338790
So for example:

View attachment 338791
Similarly for A30.
The bad news is this still leaves me with the original problem! The good news, however, is that I think I have spotted the issue.

In the original problem equation 13.29 gives the boost matrix as (multiplied by 1/m):

View attachment 338794
However, I think there is a typo here as it should be:

View attachment 338795

When this boost matrix is used and followed through the rest of the derivation everything is resolved - phew!

Once again thanks for your help with this it has helped me a lot as it got me to think about my calculations and, naively, I never considered typos.
Thank you for clearing this point. I think now that there is no typo at all, and the resolution for the minus sign in the original problem is the same: the polarization vectors in 13.30 are contravariant, but they are covariant in 13.40. This gives us the minus signs in the answer, doesn't it?
 
  • Like
Likes   Reactions: vanhees71
  • #10
A photon doesnt have a mass. it's massless.
 
  • #11
billtodd said:
A photon doesnt have a mass. it's massless.
Yes. However,
1705922995375.png

(Lancaster, Blundell, Quantum Field Theory for the Gifted Amateur)
 
  • Like
Likes   Reactions: DrClaude
  • #12
I remember this Lagrangian called proca lagrangian density. otherwise I cannot recall.
 
  • Like
Likes   Reactions: Hill

Similar threads

Replies
3
Views
4K
  • · Replies 16 ·
Replies
16
Views
2K
  • · Replies 8 ·
Replies
8
Views
3K
Replies
3
Views
2K
  • · Replies 4 ·
Replies
4
Views
3K
  • · Replies 2 ·
Replies
2
Views
4K
Replies
5
Views
4K
Replies
3
Views
2K
  • · Replies 4 ·
Replies
4
Views
3K
  • · Replies 3 ·
Replies
3
Views
3K