Problem Related to Beat Frequency of a hollow tube

Click For Summary

Homework Help Overview

The discussion revolves around a problem related to the beat frequency produced by a hollow metallic tube closed at one end when subjected to a change in temperature. The original poster presents a scenario involving a tuning fork and seeks to understand how temperature and the coefficient of thermal expansion affect the beat frequency.

Discussion Character

  • Exploratory, Assumption checking, Conceptual clarification

Approaches and Questions Raised

  • Participants explore the relationship between temperature changes, the length of the tube, and the resulting frequency changes. Questions arise regarding how to express these relationships in terms of temperature and thermal expansion.

Discussion Status

There is active engagement as participants share their thoughts on the problem. Some have attempted to derive expressions for frequency changes, while others question the assumptions made about the tuning fork's frequency and the effects of temperature on sound speed. Multiple interpretations of the problem are being explored.

Contextual Notes

Participants note the need to consider the gas inside the tube and its heating effects, as well as the dimensional accuracy of the relationships being discussed. There is an emphasis on needing to clarify how temperature influences both the length of the tube and the speed of sound.

digitomega
Messages
3
Reaction score
0

Homework Statement



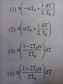
Q. A hollow metallic tube closed at one end produces resonance with a tuning fork of frequency n at temperature T. The temperature of the tube is increased by dT. If the coefficient of thermal expansion of the tube metal is alpha, the beat frequency will be - (there are 4 option in the attached image)

Homework Equations


Frequency for a tube closed at one end - n=v/(4l),3v/(4l)...
[/B]

The Attempt at a Solution


I have no idea ho to get the solution in terms of temperature and coefficient of thermal expansion.
[/B]
 

Attachments

  • IMG_20170303_101912.jpg
    IMG_20170303_101912.jpg
    9 KB · Views: 603
Physics news on Phys.org
I'm not sure I understand the question.
It is a simple matter to find the change in length of the tube and consequent change in frequency, but a beat requires two frequencies at once. Seems to me there will be one frequency at one temperature and a different frequency at the raised temperature.

Doh! Forgot about the tuning fork. Thanks TSny.
 
Last edited:
  • Like
Likes   Reactions: digitomega
I think that when the temperature of the tube is raised, the tuning fork still vibrates at its original frequency. I guess you assume that the fork can still excite the same mode in the tube, but now the mode has a slightly different frequency than the tuning fork.
 
  • Like
Likes   Reactions: digitomega
You are right haruspex. I also tried finding frequency in the two cases but the required answer is in terms of T and alpha. I can get alpha in the answer expression but I have no idea about how to get T in the expression.
 
digitomega said:
I have no idea about how to get T in the expression.
Assume the gas inside the tube is also heated.
 
digitomega said:
You are right haruspex. I also tried finding frequency in the two cases but the required answer is in terms of T and alpha. I can get alpha in the answer expression but I have no idea about how to get T in the expression.
Please post some working...
How does the temperature relate to the length?
How does the wavelength relate to the length?
How does the temperature relate to the speed of sound in the air?
How does the frequency relate to the wavelength and the speed of sound?
 
haruspex said:
Please post some working...
How does the temperature relate to the length?
How does the wavelength relate to the length?
How does the temperature relate to the speed of sound in the air?
How does the frequency relate to the wavelength and the speed of sound?

For a tube closed at one end-
1/λ = v/4l (λ= wavelength and v= speed of sound).
Increasing the temperature ultimately increases speed as well as frequency of sound.
for sound there is the relation n=c/λ. (n=frequency, c=speed of sound,λ=wavelength)
As for length and temperature relation, increasing temperature increases length.
24b.gif


Problem is I don't know and can't find how to replace l and v in the expression I am getting for the beat frequency to make it like one of the 4 options.
 
digitomega said:
1/λ = v/4l (λ= wavelength and v= speed of sound).
Something wrong there. It doesn't make sense dimensionally.
digitomega said:
Increasing the temperature ultimately increases speed as well as frequency of sound.
Well, it changes the speed of sound. It does not directly change the frequency. What is the equation?

Once you have the right relationship in each case, you need either to write a second copy of each, using different symbols for the changing variables (e.g. T for initial temperature, T' for final temperature, etc.) or write the "delta" equations, e.g. how the change in temperature, ΔT, relates to the change in speed of sound, Δc.
 

Similar threads

Replies
4
Views
3K
  • · Replies 14 ·
Replies
14
Views
2K
Replies
3
Views
4K
  • · Replies 5 ·
Replies
5
Views
2K
Replies
1
Views
3K
  • · Replies 7 ·
Replies
7
Views
6K
Replies
1
Views
3K
  • · Replies 43 ·
2
Replies
43
Views
7K
  • · Replies 6 ·
Replies
6
Views
5K
  • · Replies 7 ·
Replies
7
Views
3K