Problem: using thermal expansion to calculate sea level rise

Click For Summary

Homework Help Overview

The problem involves calculating the increase in sea level rise due to thermal expansion of ocean water as a result of absorbed energy from global warming. It is situated within the context of thermodynamics and fluid mechanics, specifically focusing on thermal expansion properties of water.

Discussion Character

  • Exploratory, Assumption checking, Mathematical reasoning

Approaches and Questions Raised

  • Participants discuss the relationship between volume change and height change, questioning how to incorporate the given surface area and energy into calculations. There are considerations about unit consistency and the implications of assuming an average depth for the oceans.

Discussion Status

The discussion is ongoing, with participants exploring various interpretations of the problem. Some have suggested using an average depth to facilitate calculations, while others are focused on ensuring unit consistency. There is recognition of the need to manipulate equations to isolate variables effectively.

Contextual Notes

Participants note the challenge of working with the surface area provided in square kilometers while needing to use cubic meters for volume calculations. There is also mention of the potential confusion arising from mixing units and the logical structure of equations.

dakota224
Messages
19
Reaction score
1

Homework Statement


Since the 1980's a total of 20 x 10^22 J of additional energy has been absorbed by the worlds oceans. This is 90% of the additional heat our planet is storing as a consequence of global warming. The surface area of the worlds oceans is 361,900,000 km^2 and we will assume this area has not significantly changed as a consequence of global warming. What is the increase in sea level rise as a consequence of this heat? Take the coefficient of thermal expansion for water to be 0.000120 oC^-1, the specific heat capacity of water to be 4190 J kg^-1 K^-1, and the density of sea water to be 1029 kg/m3.

Homework Equations


Q=VρcΔT
ΔV=VβΔT
ΔT=Q/(Vρc)

The Attempt at a Solution


My guess is that since the area doesn't change, the percentage change of volume equals the percentage change of height. However, I really don't know where to go considering that the problem only gives area. You cannot use m=dv to solve, because mass and volume are both unknown. Since area is constant, if I simply plug that into the equation, I get ΔT = (20*10^22 J)/((361900000km^2)(1029 kg/m^3)(4190 Jkg^-1K^-1)) = 128177564º, which is clearly incorrect and unreasonable. Even if you go from here assuming this is just a question for concepts where numbers don't matter, ΔV=VβΔT=(361900000km^2)(.00012ºC^-1)(128177564º)= a huge number that is incredibly unreasonable. What am I missing here?
 
Physics news on Phys.org
dakota224 said:

Homework Statement


Since the 1980's a total of 20 x 10^22 J of additional energy has been absorbed by the worlds oceans. This is 90% of the additional heat our planet is storing as a consequence of global warming. The surface area of the worlds oceans is 361,900,000 km^2 and we will assume this area has not significantly changed as a consequence of global warming. What is the increase in sea level rise as a consequence of this heat? Take the coefficient of thermal expansion for water to be 0.000120 oC^-1, the specific heat capacity of water to be 4190 J kg^-1 K^-1, and the density of sea water to be 1029 kg/m3.

Homework Equations


Q=VρcΔT
ΔV=VβΔT
ΔT=Q/(Vρc)

The Attempt at a Solution


My guess is that since the area doesn't change, the percentage change of volume equals the percentage change of height. However, I really don't know where to go considering that the problem only gives area. You cannot use m=dv to solve, because mass and volume are both unknown. Since area is constant, if I simply plug that into the equation, I get ΔT = (20*10^22 J)/((361900000km^2)(1029 kg/m^3)(4190 Jkg^-1K^-1)) = 128177564º, which is clearly incorrect and unreasonable. Even if you go from here assuming this is just a question for concepts where numbers don't matter, ΔV=VβΔT=(361900000km^2)(.00012ºC^-1)(128177564º)= a huge number that is incredibly unreasonable. What am I missing here?
Be careful with units here since the surface area of the oceans is given in km2.

You're assuming that the problem can't be solved because you are not explicitly given the volume and/or mass of the water contained in the oceans.
What if you assumed that all of the water in all of the oceans had an average depth, say Davg? Could you make some progress then?
 
dakota224 said:
I get ΔT = (20*10^22 J)/((361900000km^2)(1029 kg/m^3)(4190 Jkg^-1K^-1)) = 128177564º
Looks like you substituted an area for volume. You also have km mixed with m.

You know the equations
ΔV=VβΔT
ΔT=Q/(Vρc)

What happens if you substitute the second equation into the first and simplify (before substituting any numbers)?
 
SteamKing said:
Be careful with units here since the surface area of the oceans is given in km2.

You're assuming that the problem can't be solved because you are not explicitly given the volume and/or mass of the water contained in the oceans.
What if you assumed that all of the water in all of the oceans had an average depth, say Davg? Could you make some progress then?
Are you saying I could make an assumption that Davg is 1m to get 361900000m^3, then solve for change in volume and divide that by 361900000km^2 to get my units to just km? Wouldn't that give me an equally unrealistic answer?
 
TSny said:
Looks like you substituted an area for volume. You also have km mixed with m.

You know the equations
ΔV=VβΔT
ΔT=Q/(Vρc)

What happens if you substitute the second equation into the first and simplify (before substituting any numbers)?
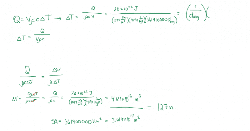
Right, I substituted area for volume because volume isn't given and wasn't sure if that would work out or not, because area is constant. Thanks for pointing out units however, I do need to change to m in order to match the density. If I do as you suggested and combine the equations, I am still left with two unknown variables.
15pog94.jpg
 
dakota224 said:
Are you saying I could make an assumption that Davg is 1m to get 361900000m^3, then solve for change in volume and divide that by 361900000km^2 to get my units to just km? Wouldn't that give me an equally unrealistic answer?
No, I'm saying that Davg, regardless of whatever its numerical value is, can be used to express the total volume of water in the oceans, so that you can proceed with solving this problem. It's not going to be a simple plug-and-chug; you'll have to do some algebra.

As far as the units are concerned, you are given seawater density in kg/m3. These units do not work well if the area of the oceans is expressed in km2. You must use consistent units in your calculations.
 
dakota224 said:
Right, I substituted area for volume because volume isn't given and wasn't sure if that would work out or not, because area is constant. Thanks for pointing out units however, I do need to change to m in order to match the density. If I do as you suggested and combine the equations, I am still left with two unknown variables.
15pog94.jpg
Do you see anything that will cancel out in the last equation above?
 
TSny said:
Do you see anything that will cancel out in the last equation above?

Ah, yes, the ΔT goes away. Am I able to divide the ΔV by the surface area to get my units to m for height as I did below?
4A80DB49-D2D3-4949-8353-31EB6332886C.PNG
 
dakota224 said:
Ah, yes, the ΔT goes away. Am I able to divide the ΔV by the surface area to get my units to m for height as I did below?View attachment 95606

Ignore the top part of that, just scribble...
 
  • #10
Did you drop the factor of β in the calculation?

Otherwise, I think you basically have it. Make sure you understand why the change in depth equals the change in volume divided by the area.
 
  • #11
Yes I did, here's the updated work:
58F23682-4FCA-4350-8AD9-7FBD30294008.JPG


I submitted this answer (online submission) and it was correct! Thanks so much for your help!
 
  • #12
OK. Note that kilometers is probably not the best choice of units for expressing this particular change in height.

Also, you should try to make your equations logically correct. As you can see, you started with ΔV on the left and after a series of equal signs, you ended up with a height (and you know a change in volume cannot equal a height). That's likely to confuse the reader (who might also be your grader!).
 
  • #13
TSny said:
OK. Note that kilometers is probably not the best choice of units for expressing this particular change in height.

Also, you should try to make your equations logically correct. As you can see, you started with ΔV on the left and after a series of equal signs, you ended up with a height (and you know a change in volume cannot equal a height). That's likely to confuse the reader (who might also be your grader!).
Here is updated work with a logical equation. I solve for change in volume (m3). Then, I can use the formula height = Volume(m3) / area (m2) to get my final answer, by plugging in the volume value and the surface area given in the problem.
Screen Shot 2016-02-10 at 9.42.19 AM.png
 
  • #14
OK. Good work. In the second line, the third expression is missing the β. But that's just a "misprint".

There is no need to take h1 = 0. Think of the volume as V = Ah where h is the average depth and A is the surface area which is assumed constant.

Then ΔV = V2 - V1 = Ah2 - Ah1 = A(h2-h1) = AΔh.

So, Δh = ΔV/A. Thus, you can calculate Δh directly from ΔV and A without worrying about individual values of h2 or h1.
 

Similar threads

  • · Replies 6 ·
Replies
6
Views
2K
Replies
1
Views
2K
Replies
1
Views
3K
  • · Replies 10 ·
Replies
10
Views
5K
Replies
5
Views
2K
  • · Replies 37 ·
2
Replies
37
Views
5K
Replies
15
Views
4K
Replies
1
Views
4K
Replies
1
Views
4K
  • · Replies 9 ·
Replies
9
Views
29K