Problem with Feynman rules in QCD -- help understanding please

Click For Summary
SUMMARY

The discussion focuses on computing the cross section for gluon emission from quarks during electron-positron annihilation using Feynman rules. The user, Pedro, encounters a discrepancy with a minus sign in the matrix element calculation, which he believes should yield a plus sign. Key variables include the 4-momenta of the quark, antiquark, and gluon, denoted as k1, k2, and k3, respectively, with p1 and p2 representing the electron and positron momenta. The direction of the momenta is crucial, as k2 and k3 are defined opposite to the fermion flow, while k1 and k3 align with it.

PREREQUISITES
  • Understanding of Quantum Chromodynamics (QCD)
  • Familiarity with Feynman diagrams and rules
  • Knowledge of particle physics, specifically electron-positron interactions
  • Proficiency in tensor calculus and 4-momentum notation
NEXT STEPS
  • Review the derivation of Feynman rules in Quantum Chromodynamics
  • Study the implications of momentum conservation in particle interactions
  • Learn about the significance of sign conventions in quantum field theory
  • Explore advanced topics in perturbative QCD calculations
USEFUL FOR

Particle physicists, graduate students in theoretical physics, and researchers working on QCD and electron-positron collision processes.

Aruera
Hi, I'm trying to compute the cross section of a gluon emission from quarks in a electron-positron annihilation at first order (I attach the diagrams below).

upload_2017-10-18_3-34-25.png


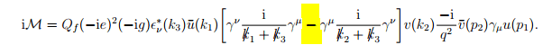
Applying the Feynman rules the matrix element should be:
upload_2017-10-18_3-36-42.png

My problem is that I have no idea where this minus sign comes from. (I obtain a plus sign).

If anyone can help me I would be very grateful.

Thanks,
Pedro.

P.S. In the equation I posted, k1, k2 and k3 are the 4-momentum of the quark, antiquark and the gluon respectively and p1 and p2 of the electron and positron.
 
Physics news on Phys.org
The momenta ##k_2## and ##k_3## are defined in the direction opposite to the fermion flow. In the other diagram ##k_1## and ##k_3## are in the same direction as the fermion flow.
 
  • Like
Likes   Reactions: Aruera

Similar threads

  • · Replies 2 ·
Replies
2
Views
4K
  • · Replies 9 ·
Replies
9
Views
4K
  • · Replies 7 ·
Replies
7
Views
3K
  • · Replies 2 ·
Replies
2
Views
2K
  • · Replies 7 ·
Replies
7
Views
2K
  • · Replies 0 ·
Replies
0
Views
3K
Replies
1
Views
3K
  • · Replies 5 ·
Replies
5
Views
3K
  • · Replies 4 ·
Replies
4
Views
2K
  • · Replies 7 ·
Replies
7
Views
3K