Prove that f(x)>=0 for all x in R iff b^2-ac=<0

  • Thread starter Thread starter Robb
  • Start date Start date
Click For Summary

Homework Help Overview

The discussion revolves around proving that the function \( f(x) \) is non-negative for all real numbers \( x \) if and only if the condition \( b^2 - ac \leq 0 \) holds. The subject area involves quadratic functions and their properties, particularly focusing on conditions for non-negativity.

Discussion Character

  • Exploratory, Conceptual clarification, Mathematical reasoning

Approaches and Questions Raised

  • Participants discuss the relationship between the minimum value of the function and the condition \( b^2 - ac \leq 0 \). There are attempts to express the minimum value in terms of \( a \), \( b \), and \( c \), and to understand how the hypothesis \( a > 0 \) influences the proof. Some participants question how to apply the condition effectively and explore the implications of the minimum value being non-negative.

Discussion Status

Participants are actively engaging with the problem, offering insights and clarifications. Some have provided guidance on how to relate the minimum value of the function to the condition given, while others are exploring the implications of the hypothesis. There is a mix of interpretations and attempts to clarify the relationship between the function's properties and the mathematical condition.

Contextual Notes

There is an emphasis on the assumption that \( a \) must be greater than zero, which is noted as essential for the discussion. Participants are also considering the fixed nature of \( x \) within the context of the problem.

Robb
Messages
225
Reaction score
8

Homework Statement


upload_2019-1-22_16-53-8.png


Homework Equations

The Attempt at a Solution


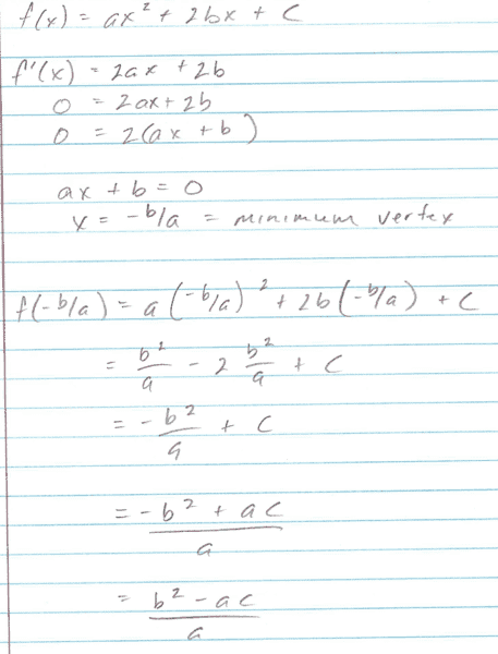
This is where I'm at and I'm not sure what my next step is. Any help would be much appreciated!
upload_2019-1-22_16-56-41.png
 

Attachments

  • upload_2019-1-22_16-53-8.png
    upload_2019-1-22_16-53-8.png
    6.3 KB · Views: 651
  • upload_2019-1-22_16-56-41.png
    upload_2019-1-22_16-56-41.png
    24.7 KB · Views: 691
Physics news on Phys.org
Robb said:

Homework Statement


View attachment 237693

Homework Equations

The Attempt at a Solution


This is where I'm at and I'm not sure what my next step is. Any help would be much appreciated!
View attachment 237695

Great work so far! You made a sign mistake at the last equality though.

You want that ##f(x) \geq 0## for all ##x \in \mathbb{R}##, or equivalently (why??) ##\min f = \frac{-b^2 +ac}{a} \geq 0##. Can you proceed? Note that the hypothesis ##a>0## is essential to proceed.
 
This is where I'm not sure. I tried setting min f = (-b^2+ac)/a and solving for x but I'm not sure if that tells me anything and it doesn't relate to the hypothesis. I guess I'm unsure of how to use the hypothesis.
 
Robb said:
This is where I'm not sure. I tried setting min f = (-b^2+ac)/a and solving for x but I'm not sure if that tells me anything and it doesn't relate to the hypothesis. I guess I'm unsure of how to use the hypothesis.

That expression doesn't depend on ##x##...

It really is one line to get the right answer from here.
 
Does it have to do with divisibility of a, which must be greater that zero?
 
Robb said:
Does it have to do with divisibility of a, which must be greater that zero?

Yes, certainly.

When is the following statement true?

##ax \geq 0 \iff x \geq 0##
 
for all x in R?
 
Robb said:
for all x in R?

I forgot to mention that ##x \in \mathbb{R}## is fixed. I want a condition for ##a##.
 
(a) must be greater than zero but that's a given
 
  • #10
Robb said:
(a) must be greater than zero but that's a given

Yes, indeed. Apply this and you will be done (in fact, you have to apply it to ##1/a## instead of ##a##)
 
  • #11
How does b^2-ac =< 0 tell us that f(x) >= 0?
 
  • #12
Robb said:
How does b^2-ac =< 0 tell us that f(x) >= 0?

##b^2 - ac \leq 0 \implies \frac{ac -b^2}{a} \geq 0##

Since ##\frac{ac -b^2}{a} = \min f##, we know that ##\min f \geq 0##. It is now obvious that ##f \geq 0##, as ##f \geq \min f \geq 0##
 
  • #13
NOW I GET IT! I was looking at min f as f' min. I assume I could also apply the second derivative test for extrema? So, f" = 2a, and we know a>0, hence f is positive?
 

Similar threads

Replies
14
Views
4K
  • · Replies 3 ·
Replies
3
Views
2K
  • · Replies 9 ·
Replies
9
Views
3K
  • · Replies 2 ·
Replies
2
Views
2K
Replies
7
Views
2K
  • · Replies 17 ·
Replies
17
Views
2K
Replies
26
Views
3K
Replies
3
Views
2K
Replies
2
Views
2K
  • · Replies 7 ·
Replies
7
Views
2K