Prove The Following Obeys Hamilton's Equation....

  • Thread starter Thread starter CMJ96
  • Start date Start date
  • Tags Tags
    Helium Superfluid
Click For Summary

Homework Help Overview

The discussion revolves around proving a relationship that adheres to Hamilton's equations, involving expressions for energy (E), momentum (P), and a variable R. Participants are examining the mathematical relationships and potential errors in the given expressions.

Discussion Character

  • Exploratory, Mathematical reasoning, Assumption checking

Approaches and Questions Raised

  • Participants are attempting to rearrange relationships between variables and differentiate expressions to derive new relationships. There are questions about the correctness of the expression for E and its implications on the units involved. The chain rule is being discussed in relation to derivatives.

Discussion Status

Some participants are exploring the implications of potential errors in the expression for E, while others are applying the chain rule to relate different derivatives. There is a mix of uncertainty and attempts to clarify mathematical relationships, with no clear consensus reached yet.

Contextual Notes

There are concerns about the validity of the expression for E, as it may not align with expected units. Additionally, the problem is noted to be from a textbook edited by the lecturer, which raises questions about the integrity of the problem setup.

CMJ96
Messages
50
Reaction score
0

Homework Statement


05M0ndw.png


Homework Equations


Given in the above picture

The Attempt at a Solution


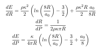
I have tried to rearrange the relationship between P and R to gain an expression for R, in terms of P. I subbed that into the expression for E and attempted to differentiate. I ended up with this expression.
dnOEpuQ.png

I can't see how this is going to lead to the relationship for V.. any help would be appreciated here because I'm not sure where I am going with this question
 
Physics news on Phys.org
CMJ96 said:

Homework Statement


View attachment 195547

Homework Equations


Given in the above picture

The Attempt at a Solution


I have tried to rearrange the relationship between P and R to gain an expression for R, in terms of P. I subbed that into the expression for E and attempted to differentiate. I ended up with this expression.
View attachment 195548
I can't see how this is going to lead to the relationship for V.. any help would be appreciated here because I'm not sure where I am going with this question

I think the expression for [itex]E[/itex] is wrong. I get the right answer for [itex]V[/itex] if

[itex]E = \frac{\rho \kappa^2 R}{2} (ln(\frac{8R}{a_0}) - \frac{3}{2})[/itex]

The E given doesn't work out, unit-wise. (It has the same units as momentum, while it should have the units of momentum times velocity)
 
  • Like
Likes   Reactions: CMJ96
stevendaryl said:
I think the expression for [itex]E[/itex] is wrong. I get the right answer for [itex]V[/itex] if

[itex]E = \frac{\rho \kappa^2 R}{2} (ln(\frac{8R}{a_0}) - \frac{3}{2})[/itex]

The E given doesn't work out, unit-wise. (It has the same units as momentum, while it should have the units of momentum times velocity)

Oh dear... this is really concerning because this is a problem that my lecturer gave my class from a textbook that he edited.
 
How are ##dE/dP## and ##dE/dR## related?

I don't know about the typo, as I haven't done the calculation.
 
George Jones said:
How are ##dE/dP## and ##dE/dR## related?

I don't know about the typo, as I haven't done the calculation.
Is it a chain rule? dE/dR * dR/dP=dE/dP?
 
Yes.

How is dR/dP related to dP/dR?

Then, put everything together.
 
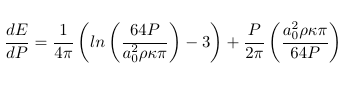
Okay so I have attempted to apply the chain rule, I have the following equations, it seems close but not quite there, am I along the right lines?
8zfeuiY.png
 
What is

$$\frac{d}{dx} \ln \left( ax \right)?$$
 
  • Like
Likes   Reactions: CMJ96
CMJ96 said:
Okay so I have attempted to apply the chain rule, I have the following equations, it seems close but not quite there, am I along the right lines?
View attachment 195655

You're making a little mathematical mistake:

[itex]\frac{d}{dR} ln(AR) = 1/R[/itex], not [itex]\frac{A}{R}[/itex]
 
  • Like
Likes   Reactions: CMJ96
  • #10
Ahhh yes!, so instead of -3/2 + a_0/8 it would be -3/2 + 1, hence the -1/2. Thank you, this is very helpful!
 
  • #11
Hiiiiiii :woot:
 

Similar threads

  • · Replies 1 ·
Replies
1
Views
2K
  • · Replies 1 ·
Replies
1
Views
3K
Replies
0
Views
1K
Replies
1
Views
2K
  • · Replies 23 ·
Replies
23
Views
12K
Replies
30
Views
5K
  • · Replies 2 ·
Replies
2
Views
3K
Replies
2
Views
4K
  • · Replies 3 ·
Replies
3
Views
2K
Replies
3
Views
2K