Proving g(x) is continuous over interval (-∞,-2)

  • Thread starter Thread starter member 731016
  • Start date Start date
  • Tags Tags
    Continuous Interval
Click For Summary

Homework Help Overview

The discussion revolves around the continuity of the function g(x) over the interval (-∞, -2) and the appropriate notation for expressing the constraints on the variable a within this context.

Discussion Character

  • Conceptual clarification, Assumption checking

Approaches and Questions Raised

  • Participants are questioning the validity and clarity of using negative infinity in interval notation, particularly whether it should be included in the expression for a. There is debate over the meaning and appropriateness of different notations, such as "−∞ < a < −2" versus "a ∈ (-∞, -2)".

Discussion Status

The discussion is ongoing, with participants providing insights and clarifications regarding notation. Some suggest that the notation involving negative infinity does not add meaningful information, while others express differing views on its usage. There is no explicit consensus on the best notation to use.

Contextual Notes

Participants are navigating the conventions of mathematical notation and its implications for understanding continuity. There is a focus on how to properly express the constraints on a within the context of the problem.

member 731016
Homework Statement
Please see below
Relevant Equations
Please see below
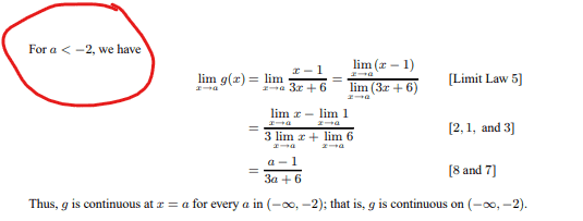
For number 18,
1676597607436.png

The solution is,
1676597636101.png

However, should they not write "For ## -∞ < a < -2##" since ##a ≠ -∞## (infinity is not a number)?

Many thanks!
 
Physics news on Phys.org
##a## is a number, so can't be negative infinity.

In particular, ##a\in [-\infty,-2)## isn't really a meaningful thing outside of people abusing notation.
 
  • Like
Likes   Reactions: member 731016
Office_Shredder said:
##a## is a number, so can't be negative infinity.

In particular, ##a\in [-\infty,-2)## isn't really a meaningful thing outside of people abusing notation.
Thank you for your reply @Office_Shredder !

So a better notation than ## a < -2 ## is ## -∞ < a < -2##, correct?

Many thanks!
 
Callumnc1 said:
Thank you for your reply @Office_Shredder !

So a better notation than ## a < -2 ## is ## -∞ < a < -2##, correct?

Many thanks!
No, the ##-\infty<a## notation conveys no additional information. ##a## and ##a>-\infty## are the same thing. You can include the negative infinity, but in no sense is it better here.
 
  • Like
Likes   Reactions: member 731016
Callumnc1 said:
However, should they not write "For −∞<a<−2"
##-\infty < a < -2## and ##a \in (-\infty, -2)## are two different notations that say exactly the same thing. In most of the books I've seen, interval notation, as in the 2nd example above, uses a parenthesis to indicate an endpoint that isn't included, and a bracket to indicate that an endpoint is included. I've seen other notations used, but these seem to be a lot rarer.

Also, I don't think any textbook would include "For" in a compound inequality. ##-\infty < a < -2## says everything that needs to be said.
 
  • Like
Likes   Reactions: member 731016

Similar threads

Replies
3
Views
1K
Replies
22
Views
2K
  • · Replies 2 ·
Replies
2
Views
1K
  • · Replies 3 ·
Replies
3
Views
1K
Replies
4
Views
3K
  • · Replies 9 ·
Replies
9
Views
2K
  • · Replies 4 ·
Replies
4
Views
2K
  • · Replies 3 ·
Replies
3
Views
2K
  • · Replies 4 ·
Replies
4
Views
2K
Replies
5
Views
2K