Proving the Limit in a Power Series: How Does the Solution Work?

  • Thread starter Thread starter ecoo
  • Start date Start date
  • Tags Tags
    Limit
Click For Summary

Homework Help Overview

The discussion revolves around proving a limit related to a power series, specifically focusing on the convergence of the series and its implications for the limit as \( n \) approaches a certain value. Participants are exploring the relationship between the convergence of the series and the behavior of its terms.

Discussion Character

  • Conceptual clarification, Assumption checking, Mixed

Approaches and Questions Raised

  • Participants discuss the use of the Maclaurin series and question its relevance to the problem. There is confusion regarding whether the limit being proven is as \( n \) approaches 0 or infinity. Some participants suggest that the limit should be considered as \( n \) approaches infinity, while others express uncertainty about the implications of convergence on the limit.

Discussion Status

The conversation is ongoing, with various interpretations of the limit being discussed. Some participants have provided insights into the nature of convergent series and the conditions under which limits can be evaluated. There is no explicit consensus on the correct approach or interpretation of the limit at this time.

Contextual Notes

There is a noted confusion regarding the limit notation, with some participants suggesting that a typographical error may have occurred in the original problem statement. The discussion also highlights the challenge of addressing limits involving integer sequences.

ecoo
Messages
86
Reaction score
2

Homework Statement



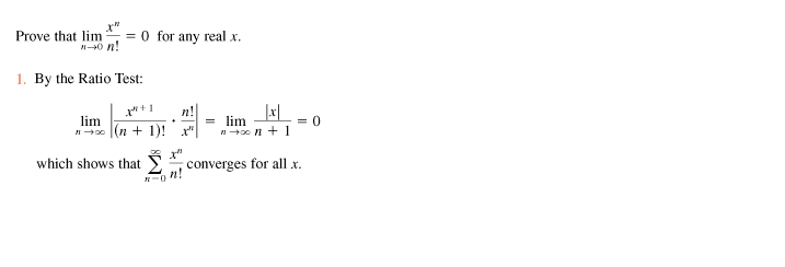
Section is on using power series to calculate functions, the problem is on proving the limit, solution is also attached but I do not see how the solution proves the limit.

Homework Equations



Convergent power series form

The Attempt at a Solution



I attempted to represent the series with a Maclaurin series, but that leads nowhere. Could someone help explain why the solution given works?
 

Attachments

  • Untitled.png
    Untitled.png
    3.1 KB · Views: 502
Physics news on Phys.org
ecoo said:

Homework Statement



Section is on using power series to calculate functions, the problem is on proving the limit, solution is also attached but I do not see how the solution proves the limit.

Homework Equations



Convergent power series form

The Attempt at a Solution



I attempted to represent the series with a Maclaurin series, but that leads nowhere.
The problem doesn't ask you to find a Maclaurin series -- it just asks you to prove the limit that is given.

ecoo said:
Could someone help explain why the solution given works?
The proof seems very straightforward to me. What part of it do you not understand?
 
Mark44 said:
The problem doesn't ask you to find a Maclaurin series -- it just asks you to prove the limit that is given.The proof seems very straightforward to me. What part of it do you not understand?

I don't see how showing that the series converges for all x proves that the limit as n approaches 0 is equal to 0 for all x.
 
ecoo said:
I don't see how showing that the series converges for all x proves that the limit as n approaches 0 is equal to 0 for all x.
This is true in general for any convergent series. If ##\sum_{n=0}^{\infty}a_n## converges, then ##\lim_{n \to \infty} a_n = 0##. This is sometimes called the n'th term test when stated in its contrapositive form: if the sequence ##a_n## does not converge to zero, then the series ##\sum_{n=0}^{\infty} a_n## diverges.

The converse is false, as shown by the example ##\sum_{n=1}^{\infty}(1/n)##, which diverges even though ##\lim_{n\to\infty}1/n = 0##.
 
jbunniii said:
This is true in general for any convergent series. If ##\sum_{n=0}^{\infty}a_n## converges, then ##\lim_{n \to \infty} a_n = 0##. This is sometimes called the n'th term test when stated in its contrapositive form: if the sequence ##a_n## does not converge to zero, then the series ##\sum_{n=0}^{\infty} a_n## diverges.

The converse is false, as shown by the example ##\sum_{n=1}^{\infty}(1/n)##, which diverges even though ##\lim_{n\to\infty}1/n = 0##.

That's true, but aren't we trying to prove the limit as n approaches 0, not infinity?
 
ecoo said:
That's true, but aren't we trying to prove the limit as n approaches 0, not infinity?
What you just wrote makes no sense. They are trying to prove that the limit is zero, as n approaches infinity. More specifically, that ##\lim_{n \to \infty}\frac {x^n}{n!} = 0##. They are using the Ratio Test to prove this.

In addition, this work also proves that the series ##\sum_{n = 0}^{\infty}\frac{x^n}{n!}## is convergent, for the reason jbunniii gave.
 
Mark44 said:
What you just wrote makes no sense. They are trying to prove that the limit is zero, as n approaches infinity. More specifically, that ##\lim_{n \to \infty}\frac {x^n}{n!} = 0##. They are using the Ratio Test to prove this.

In addition, this work also proves that the series ##\sum_{n = 0}^{\infty}\frac{x^n}{n!}## is convergent, for the reason jbunniii gave.

The first sentence, they are trying to prove the limit is 0 as n approaches 0.
 
ecoo said:
The first sentence, they are trying to prove the limit is 0 as n approaches 0.
You're right. The type is so small in the image you posted that I misread the 0 for ∞.

I'm pretty sure that the ##n \to 0## under "lim" is a typo. The other work shown suggests strongly that it should be ##\lim_{n \to \infty}## which is what I mistook it to be.
 
Mark44 said:
You're right. The type is so small in the image you posted that I misread the 0 for ∞.

I'm pretty sure that the ##n \to 0## under "lim" is a typo. The other work shown suggests strongly that it should be ##\lim_{n \to \infty}## which is what I mistook it to be.

Ah, I see. How would one go about prove the limit as n approaches 0, or would it be very hard?
 
  • #10
No, it's not hard. If ##x \ne 0##, ##\lim_{x \to 0}\frac {x^n}{n!}## = 1. As ##n \to 0, x^n \to 1##, and 0! is defined to be 1. ##0^0## is indeterminate, though, which is why I qualified what I said about x not being equal to zero.
 
  • Like
Likes   Reactions: ecoo
  • #11
It doesn't make much sense to talk about the limit as ##n## approaches zero. This is because ##n## is an integer, so the only way it can approach zero is by being zero. So, the limit of a sequence ##a_n## as ##n## approaches zero is simply ##a_0##.
 
  • Like
Likes   Reactions: ecoo
  • #12
Perhaps try separating the ##|x|## and the ##\frac{1}{n+1}## and you may see why it works for any real x.

It has to do with the value of ##\frac{1}{n+1}## as n approaches infinity.
 

Similar threads

  • · Replies 4 ·
Replies
4
Views
2K
Replies
2
Views
1K
  • · Replies 38 ·
2
Replies
38
Views
4K
  • · Replies 1 ·
Replies
1
Views
2K
  • · Replies 11 ·
Replies
11
Views
3K
Replies
29
Views
3K
  • · Replies 22 ·
Replies
22
Views
4K
Replies
3
Views
2K
  • · Replies 14 ·
Replies
14
Views
2K
  • · Replies 2 ·
Replies
2
Views
1K