Proving the limit of a sequence from the definition of limit

Click For Summary

Discussion Overview

The discussion revolves around proving the limit of the sequence ##\frac{4n^2+3}{n^2+n+2}## as ##n## approaches infinity, specifically using the definition of limits. Participants explore the steps involved in manipulating the sequence to demonstrate that it tends to ##4##, examining the rationale behind certain algebraic transformations and comparisons.

Discussion Character

  • Exploratory
  • Technical explanation
  • Mathematical reasoning

Main Points Raised

  • One participant expresses confusion about why the expression ##\frac{4n+5}{n^2+n+2}## is compared to ##\frac{4n+5n}{n^2}##, questioning the purpose of this step.
  • Another participant clarifies that increasing the numerator and decreasing the denominator results in a larger number, which simplifies the expression in terms of ##n##.
  • Concerns are raised about whether the new term is fundamentally different from the original sequence, with one participant suggesting that arbitrary constants like ##1000n## may not be appropriate for bounding the expression.
  • Participants discuss the necessity for the new term to be larger than the original while still converging to zero as ##n## approaches infinity.
  • There is a question regarding the derivation of ##n_0 = \frac{9}{\epsilon} + 1##, with discussions about ensuring ##n_0## is a natural number and the implications of adding ##1##.
  • Clarifications are made about the integer part of ##\frac{9}{\epsilon}## and the reasoning behind ensuring that ##n_0 > \frac{9}{\epsilon}##.
  • One participant introduces a broader idea about proving divergence by comparing sequences, suggesting that finding simpler bounding sequences can facilitate the proof process.

Areas of Agreement / Disagreement

Participants generally agree on the need for the new term to be larger and to converge appropriately, but there is no consensus on the specific methods or transformations to use in the proof. The discussion remains unresolved regarding the best approach to take.

Contextual Notes

Participants express uncertainty about the appropriateness of certain bounding terms and the implications of their choices in the context of the limit proof. The discussion highlights the complexity of manipulating sequences and the importance of clarity in mathematical reasoning.

marksyncm
Messages
100
Reaction score
5
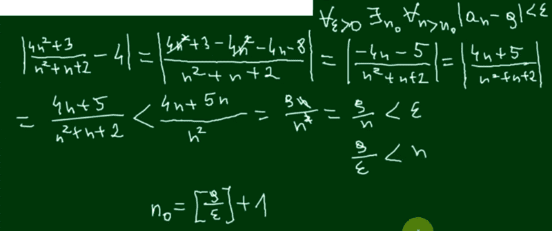
Say that we are asked to prove, using the definition of limits, that the sequence ##\frac{4n^2+3}{n^2+n+2}## tends to ##4## as ##n## tends to infinity. The following is a screenshot of the solution I found in a YouTube video:

upload_2018-11-4_21-12-1.png


(Note that in the definition above, "g" denotes the limit - in this case ##4##).

I understand (or at least I think I do) what is happening up to the point I've marked in red - basically it appears to me that we are trying to answer the question: "for which ##n## will the distance between ##a_n## and ##4## be smaller than ##\epsilon##? This is why we are solving the absolute value inequality.

So we simplify the absolute value to ##\frac{4n+5}{n^2+n+2}##. However, I do not understand why we are saying that this is smaller than ##\frac{4n+5n}{n^2}## or why we chose ##\frac{4n+5n}{n^2}## specifically. What's the purpose behind this? Is it to try and have only one ##n## in the fraction?

For example, if we were attempting to show that ##\lim_{n \to \infty} \frac{1}{n} = 0##, we would start from ##|\frac{1}{n} - 0| < \epsilon## meaning that ##\frac{1}{n} < \epsilon## meaning that ##n > \frac{1}{\epsilon}##. This means that you give me ##\epsilon > 0##, and I'll give you a number ##n_0 = \frac{1}{\epsilon}##, and for all ##n > n_0## you will find that ##a_n## is within a distance of less than ##\epsilon## from ##0##, which concludes the proof (please correct me if I'm wrong here).

My question is, why can't we just do the same in the example from the screenshot above? What's the purpose of the additional step of saying that the fraction is smaller than <some intermediate value>, and why choose ##\frac{4n+5n}{n^2}## specifically as that value?

Thanks.
 

Attachments

  • upload_2018-11-4_21-10-47.png
    upload_2018-11-4_21-10-47.png
    19.5 KB · Views: 625
  • upload_2018-11-4_21-12-1.png
    upload_2018-11-4_21-12-1.png
    24 KB · Views: 1,268
Physics news on Phys.org
That step increases the numerator and decreases the denominator. Both result in a larger number. It is done to have a simpler expression in ##n##, so that ##n > n_0 ## gives the desired conclusion.
 
Isn't the new term completely different from the original sequence, though? We say that ##\frac{4n+5}{n^2+n+2} < \frac{4n+5n}{n^2} < \epsilon##, but couldn't we just say, for instance, ##\frac{4n+5}{n^2+n+2} < 1000n < \epsilon## which would give us that ##n < \frac{\epsilon}{1000}## (which doesn't make sense, it seems)?
 
marksyncm said:
Isn't the new term completely different from the original sequence, though? We say that ##\frac{4n+5}{n^2+n+2} < \frac{4n+5n}{n^2} < \epsilon##, but couldn't we just say, for instance, ##\frac{4n+5}{n^2+n+2} < 1000n < \epsilon## which would give us that ##n < \frac{\epsilon}{1000}## (which doesn't make sense, it seems)?
Right, that doesn't make much sense. For one thing, it's highly unlikely that ##1000n## will be smaller than some arbitrary ##\epsilon##.

You're trying to find some number N such that, if n > N, ##\frac{4n + 5}{n^2 + n + 2} < \epsilon##. You want to show that the rational expression on the left gets "small" as n gets large.
 
  • Like
Likes   Reactions: FactChecker
The important thing is that ##\frac{4n+5n}{n^2}## is simpler and larger than the original, yet becomes as small as desired when ##n \rightarrow \infty##. Therefore, for any ##\epsilon > 0##, you can calculate ##n_0## where ## n > n_0## makes ##\frac{4n+5n}{n^2} < \epsilon##. That is clearly not true for your proposed ##1000n##.
 
  • Like
Likes   Reactions: marksyncm and PeroK
Thank you. So the new term needs to be larger than the original while also converging to zero (or whatever limit we are working with) as ##n## approaches ##\infty##? And, of course, it needs to be in such terms of ##n## that allow us to obtain a value for ##n_0## in terms of ##\epsilon## only?

Also, regarding the screenshot above: the conclusion is that ##n_0 = \frac{9}{\epsilon} + 1##. Where does the ##+1## come from? Is it to account for the fact that ##n_0## must be equal to 1 or larger (as it is a natural number), so we add the ##+1## to make sure this is the case for very large ##\epsilon## values?
 
marksyncm said:
Thank you. So the new term needs to be larger than the original while also converging to zero (or whatever limit we are working with) as ##n## approaches ##\infty##? And, of course, it needs to be in such terms of ##n## that allow us to obtain a value for ##n_0## in terms of ##\epsilon## only?
Yes to both.
marksyncm said:
Also, regarding the screenshot above: the conclusion is that ##n_0 = \frac{9}{\epsilon} + 1##. Where does the ##+1## come from? Is it to account for the fact that ##n_0## must be equal to 1 or larger (as it is a natural number), so we add the ##+1## to make sure this is the case for very large ##\epsilon## values?
Just before that, they have ##\frac 9 \epsilon < n##. Multiply both sides by ##\epsilon## and n. Both are positive, so the direction of the inequality doesn't change.

BTW, the writing of whoever did the work in the screenshot is very unclear. The 9's are almost unrecognizable. If the previous work didn't have 4 + 5, I wouldn't have known that that squiqqle was a 9.
 
  • Like
Likes   Reactions: marksyncm
marksyncm said:
Thank you. So the new term needs to be larger than the original while also converging to zero (or whatever limit we are working with)
It must be zero, no other limit is appropriate.
as ##n## approaches ##\infty##? And, of course, it needs to be in such terms of ##n## that allow us to obtain a value for ##n_0## in terms of ##\epsilon## only?
There might be other parameters involved. The selection of ##n_0## might depend on those parameters. But not in this case (or most cases).
Also, regarding the screenshot above: the conclusion is that ##n_0 = \frac{9}{\epsilon} + 1##. Where does the ##+1## come from? Is it to account for the fact that ##n_0## must be equal to 1 or larger (as it is a natural number), so we add the ##+1## to make sure this is the case for very large ##\epsilon## values?
Actually, ##\frac{9}{\epsilon}## is probably not an integer since ##\epsilon## is an arbitrary positive real, and adding 1 does not make it an integer. But that is ok. We could define the real number ##r_0 = \frac{9}{\epsilon} + 1## and use it the same way. Adding +1 was probably done just to make the proof a little safer (just in case his value of ##n_0## gave equality rather than ##>##). He could have added any large natural number, since he only needed to prove something for large ##n##.

CORRECTION: I overlooked the brackets, which take the integer part: ##[\frac{9}{\epsilon}]##. So this is an integer and the '+1' makes sure that ##n_0## is large enough after the fractional part of ##\frac{9}{\epsilon}## is removed.
 
Last edited:
  • Like
Likes   Reactions: marksyncm
FactChecker said:
Actually, ##\frac{9}{\epsilon}## is probably not an integer since ##\epsilon## is an arbitrary positive real, and adding 1 does not make it an integer. But that is ok.

The solution above uses ##[\frac{9}{\epsilon}]##, which I assume is the integer part of ##\frac{9}{\epsilon}##, and then adds ##1## to it.

@marksyncm adding ##1## is to ensure that ##n_0 > \frac{9}{\epsilon}##.
 
  • Like
Likes   Reactions: FactChecker and marksyncm
  • #10
marksyncm said:
Isn't the new term completely different from the original sequence, though? We say that ##\frac{4n+5}{n^2+n+2} < \frac{4n+5n}{n^2} < \epsilon##,

This is such an important and powerful idea (and actually quite simple) that you really want to make sure you've digested it. For example, suppose you want to prove that the sequence ##2n^3 + 6n^2 + 3n -1## diverges.

Your first strategy might be to try to find the point ##n_0## at which this sequence exceeds a given number. So, you would look for a solution to ##2n^3 + 6n^2 + 3n -1 = M##, where ##M## is some (large) number. But, it not easy to solve a cubic equation. So that looks a hard way to do it.

Alternatively, you could look for another much simpler sequence that is less than the one you have. There are then lots of ways of doing this.

E.g. you could note that ##\forall n: \ 3n - 1 > 0## and ##6n^2 > 0##. That means that:

##\forall n: 2n^3 + 6n^2 + 3n -1 > 2n^3##

And, if you can find ##n_0## for the sequence ##2n^3##, then that ##n_0## does for the original sequence as well.

However, you could go further and note that: ##\forall n: 2n^3 > n##

And now you have ##\forall n: 2n^3 + 6n^2 + 3n -1 > n##.

That means that ##\forall M## you can simply take ##n_0 = M## or, if you are being pedantic, ##n_0 = [M] + 1## and:

##\forall M > 0, \ n > [M]+1 \ \Rightarrow 2n^3 + 6n^2 + 3n -1 > M##

And that proves that the sequence diverges.

In any case, this general idea of "crude" approximations is very powerful and can make things much simpler.
 
  • Like
Likes   Reactions: marksyncm
  • #11
Thank you all, this was very helpful.

Question regarding this:
PeroK said:
(...)
And, if you can find ##n_0## for the sequence ##2n^3##, then that ##n_0## does for the original sequence as well.
.

Thanks for the explanation, this makes a lot of sense. What happens if we can't find an ##n_0## for this one, though (not in this example, of course)? Because the new sequence is smaller than the original one, couldn't it "behave" differently than the original one?
 
  • #12
marksyncm said:
Thank you all, this was very helpful.

Question regarding this:Thanks for the explanation, this makes a lot of sense. What happens if we can't find an ##n_0## for this one, though (not in this example, of course)? Because the new sequence is smaller than the original one, couldn't it "behave" differently than the original one?

Yes, obviously, you need to make sure your new sequence still has the required property. For polynomials in general the leading term (i.e. the highest power) dominates.
 
  • Like
Likes   Reactions: marksyncm
  • #13
To make sure I understood, here's another example that I'm going to try and solve: ##\lim{n \to \infty} (\frac{n^3}{2n^+9} - \frac{n}{2}) = 0##. So we have that:

$$|\frac{n^3}{2n^2+9} - \frac{n}{2} - 0| = |\frac{2n^3-2n^3-9n}{4n^2+18}| = \frac{9n}{4n^2+18} < \epsilon$$

Now I could say that

$$\frac{9n}{4n^2+18} < \frac{9n}{4n^2} =\frac{9}{4n} < \epsilon \rightarrow n > \frac{9}{4\epsilon}$$

So we can say that ##n_0 = \frac{9}{4\epsilon} + 1##.

Sounds good?
 
  • #14
PeroK said:
Yes, obviously, you need to make sure your new sequence still has the required property. For polynomials in general the leading term (i.e. the highest power) dominates.

Got it, thanks!
 
  • #15
marksyncm said:
To make sure I understood, here's another example that I'm going to try and solve: ##\lim{n \to \infty} (\frac{n^3}{2n^+9} - \frac{n}{2}) = 0##. So we have that:

$$|\frac{n^3}{2n^2+9} - \frac{n}{2} - 0| = |\frac{2n^3-2n^3-9n}{4n^2+18}| = \frac{9n}{4n^2+18} < \epsilon$$

Now I could say that

$$\frac{9n}{4n^2+18} < \frac{9n}{4n^2} =\frac{9}{4n} < \epsilon \rightarrow n > \frac{9}{4\epsilon}$$

So we can say that ##n_0 = \frac{9}{4\epsilon} + 1##.

Sounds good?

Yes, you've got the idea.
 
  • #16
Thanks again, everyone.
 
  • #17
PeroK said:
The solution above uses ##[\frac{9}{\epsilon}]##, which I assume is the integer part of ##\frac{9}{\epsilon}##, and then adds ##1## to it.

@marksyncm adding ##1## is to ensure that ##n_0 > \frac{9}{\epsilon}##.
Oh. I overlooked that symbology. Good catch. I stand corrected.
 

Similar threads

  • · Replies 1 ·
Replies
1
Views
2K
  • · Replies 9 ·
Replies
9
Views
2K
  • · Replies 4 ·
Replies
4
Views
2K
  • · Replies 14 ·
Replies
14
Views
2K
  • · Replies 16 ·
Replies
16
Views
4K
  • · Replies 6 ·
Replies
6
Views
4K
  • · Replies 7 ·
Replies
7
Views
3K
  • · Replies 3 ·
Replies
3
Views
3K
  • · Replies 4 ·
Replies
4
Views
2K
  • · Replies 2 ·
Replies
2
Views
2K