Quantum version of Larmor precession

Click For Summary

Homework Help Overview

The discussion revolves around the quantum mechanics concept of Larmor precession, specifically focusing on the evolution of a quantum state under varying magnetic field directions. Participants are examining the implications of state evolution over time and the calculation of probabilities associated with these states.

Discussion Character

  • Exploratory, Conceptual clarification, Mathematical reasoning, Assumption checking

Approaches and Questions Raised

  • Participants are questioning the assumptions regarding the initial and final states of the system, particularly the state at time ##t = T##. There is discussion about the need to calculate the state at ##t = T## before proceeding to the next time interval. Some participants are also addressing the nature of the final probability results, noting inconsistencies and the requirement for unitless arguments in calculations.

Discussion Status

The discussion is ongoing with various interpretations being explored. Some participants have provided guidance on the need to calculate intermediate states and the importance of ensuring that probabilities are expressed correctly. There is no explicit consensus on the correct probability value, as differing answers have been presented.

Contextual Notes

Participants are navigating potential misunderstandings of the problem statement and the implications of magnetic field direction on state evolution. There are also constraints regarding the nature of probabilities in quantum mechanics that are being discussed.

Bobs
Messages
14
Reaction score
1

Homework Statement

gawdbdm.png


Homework Equations


I didn't get what this actually means.

The Attempt at a Solution


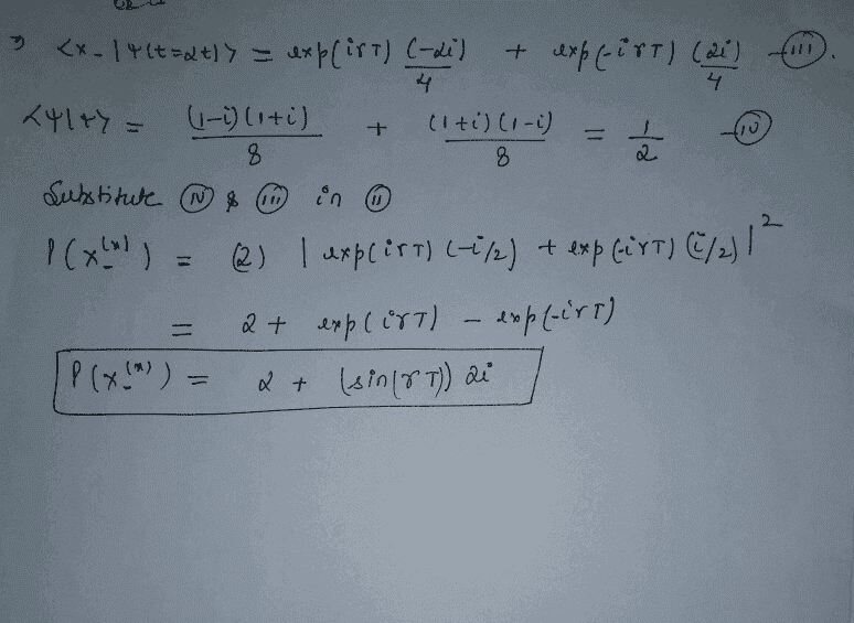
DtD4BYE.png

DpSH9Y6.png

I'm not sure whether it is correct. Could you take a look?
Regards!
 

Attachments

  • gawdbdm.png
    gawdbdm.png
    5 KB · Views: 1,045
  • DtD4BYE.png
    DtD4BYE.png
    54 KB · Views: 982
  • DpSH9Y6.png
    DpSH9Y6.png
    68 KB · Views: 1,007
Physics news on Phys.org
Hello. I haven't gone through all of the details of your calculations. But, I don't see where you have taken into account the evolution of the system between ##t = 0## and ##t = T##. It appears to me that you are assuming that the system is in state ##\chi_+^{(x)}## at time ##t = T##.

upload_2018-6-21_14-3-53.png
 

Attachments

  • upload_2018-6-21_14-3-53.png
    upload_2018-6-21_14-3-53.png
    4.7 KB · Views: 621
Do you see any mistakes at the final answer? And yes, I'm assuming that the system in state ##\chi_+^{(x)}## at time ##t=T##. Staying tuned for your sincerely reply!
 
Maybe we are interpreting the statement of the problem differently. The way I read it, at time ##t = 0## the system is in state ##|\psi(0) \rangle = \chi_+^{(x)}##. It evolves for time ##T## with ##\mathbf B## in the z direction. Then, in the time interval ##T \leq t \leq 2T## it evolves with ##\mathbf B## in the y direction. So, you will need to find ##|\psi(T) \rangle## before you can determine the state for ##t > T##.

Your final result for the probability appears to be a complex number. But probabilities are real numbers. Also, shouldn't the answer depend on the magnetic field strength B?
 
It looks like this post has appeared twice.
Bobs said:
Do you see any mistakes at the final answer? And yes, I'm assuming that the system in state at time ##t=T##. Staying tuned for your sincerely reply!
The systaem will not be in state ##\chi_+^{(x)}## at t = T. As TSny points out in the above post, the evolution between t = 0 and t = T is dictated by the magnetic field only in the z direction. You should calculate |ψ(T)> from that, and then let that evolve from t = T to t = 2T with the magnetic field only in the y direction.
 
I found the probability as ##\dfrac{B^2}{2}## is that correct?
 
Bobs said:
I found the probability as ##\dfrac{B^2}{2}## is that correct?
That answer can't possibly be correct. Probabilities are unitless.
 
Finally, I've found the probability as ##0## from ##P = \dfrac{1}{4}exp \biggr( \dfrac{-2t\mu BB}{\hbar}\biggr ) \biggr | (1-1) \biggr |^2 = 0## Does that seem correct now? Thanks in advance.
 
What steps did you follow to arrive at that answer?
 
  • #10
Is that correct? Or what would be the correct probability we're looking for? I'm receiving too many different answers.
 
  • #11
No. The argument of the exponential should be unitless.
 

Similar threads

  • · Replies 2 ·
Replies
2
Views
2K
  • · Replies 3 ·
Replies
3
Views
2K
  • · Replies 6 ·
Replies
6
Views
4K
  • · Replies 2 ·
Replies
2
Views
2K
  • · Replies 6 ·
Replies
6
Views
3K
  • · Replies 1 ·
Replies
1
Views
2K
  • · Replies 4 ·
Replies
4
Views
3K
  • · Replies 1 ·
Replies
1
Views
2K
  • · Replies 5 ·
Replies
5
Views
5K
  • · Replies 7 ·
Replies
7
Views
4K