Question about infinite series

Click For Summary
SUMMARY

The discussion focuses on solving a problem related to infinite series, specifically identifying the first correct reason among several options. Key points include the clarification of the mathematical expressions ##6^{2n}=(6^2)^n=36^n## and ##(6^2+1)^n=37^n##. Participants emphasize the importance of verifying options 4 and 6, suggesting that option 4 is manageable once the correct interpretation is applied. The moderator notes the need for precision in selecting the first correct reason.

PREREQUISITES
  • Understanding of infinite series and convergence
  • Familiarity with exponential notation and properties
  • Basic algebraic manipulation skills
  • Knowledge of mathematical reasoning and proof techniques
NEXT STEPS
  • Study the properties of infinite series convergence
  • Learn about exponential functions and their applications
  • Explore mathematical proof techniques for series
  • Review common pitfalls in algebraic manipulation
USEFUL FOR

Mathematics students, educators, and anyone interested in deepening their understanding of infinite series and mathematical reasoning.

badatcalc
Messages
1
Reaction score
0
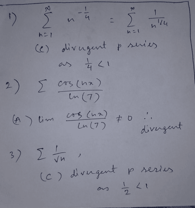
To anyone that can help me with this - You have to pick the FIRST correct reason. Work below (exception of 4 because I cannot figure it out), but in order to get the question right you must have all correct and I cannot figure it out. Any help is appreciated.

Screen Shot 2019-10-11 at 4.32.18 PM.png

phpuSLyss.png

php9KCm97.png

phpIJk04x.png

[Moderator's note: Moved from a technical forum and thus no template.]
 
Physics news on Phys.org
I'd double check 4 & 6.
 
No4 is not that hard once you figure out that ##6^{2n}=(6^2)^n=36^n## and ##(6^2+1)^n=37^n##.

No6 looks fine to me. (oh now I see it says the FIRST reason, might be A afterall).
 
Last edited:

Similar threads

Replies
29
Views
3K
  • · Replies 1 ·
Replies
1
Views
1K
  • · Replies 5 ·
Replies
5
Views
2K
  • · Replies 5 ·
Replies
5
Views
2K
  • · Replies 8 ·
Replies
8
Views
2K
  • · Replies 5 ·
Replies
5
Views
2K
  • · Replies 6 ·
Replies
6
Views
2K
  • · Replies 11 ·
Replies
11
Views
3K
  • · Replies 3 ·
Replies
3
Views
2K
Replies
9
Views
2K