Question about Maclaurin series - calculus

Click For Summary

Homework Help Overview

The discussion revolves around finding the Maclaurin series for a specific function, with participants focusing on the coefficients c_3, c_4, c_5, c_6, and c_7. The subject area is calculus, particularly series expansion.

Discussion Character

  • Exploratory, Assumption checking, Mathematical reasoning

Approaches and Questions Raised

  • Participants discuss the calculation of coefficients and question the correctness of the original poster's values for c_4 and c_5. There is a focus on the potential confusion regarding factorials in the coefficients and the implications of different representations.

Discussion Status

The discussion is active, with participants providing insights into the calculations and questioning the assumptions made about the coefficients. Some participants suggest that the original poster may have misunderstood which coefficient corresponds to which term in the series.

Contextual Notes

There is mention of a possible requirement to manually calculate derivatives, which could influence how the coefficients are derived. The discussion also highlights the importance of evaluating derivatives at zero in the context of the Maclaurin series.

andydan1060
Messages
2
Reaction score
0

Homework Statement


Find the Maclaurin series of the function https://webwork.wustl.edu/webwork2_files/tmp/equations/87/63afd4b6f3566e2a90aa420dc5d1821.png
c_3 =
c_4 =
c_5 =
c_6 =
c_7 =

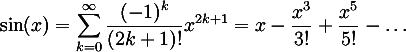
Homework Equations


upload_2015-4-27_0-43-19.png


The Attempt at a Solution


(8x^2)[(9x) - (9x)^3/3! + (9x)^5/5! - (9x)^7/7! + ...]

I got c_3 = 72, which is correct, and c_5 = (8x^2)[(9x^3)/3!] = 5832/3! (coefficient)

Apparently that's wrong and it's supposed to be -116640/(5!).

What did I do wrong? Thanks!
 
Last edited by a moderator:
Physics news on Phys.org
Are you not just muddling up which coefficient is which? If you've got 1/3! and the answer has 1/5! then those are different coefficients.
 
Isnt c4 supposed to be the coefficient of x^4 which is zero in this series?
 
andydan1060 said:

Homework Statement


Find the Maclaurin series of the function https://webwork.wustl.edu/webwork2_files/tmp/equations/87/63afd4b6f3566e2a90aa420dc5d1821.png
c_3 =
Delta² said:
Isnt c4 supposed to be the coefficient of x^4 which is zero in this series?
It's supposed to be
c_4 =
c_5 =
c_6 =
c_7 =

Homework Equations


View attachment 82633

The Attempt at a Solution


(8x^2)[(9x) - (9x)^3/3! + (9x)^5/5! - (9x)^7/7! + ...]

I got c_3 = 72, which is correct, and c_4 = (8x^2)[(9x^3)/3!] = 5832/3! (coefficient)

Apparently that's wrong and it's supposed to be -116640/(5!).

What did I do wrong? Thanks!
Delta² said:
Isnt c4 supposed to be the coefficient of x^4 which is zero in this series?
It's supposed to be c_5, not c_4, sorry.
 
Last edited by a moderator:
andydan1060 said:
It's supposed to be c_5, not c_4, sorry.

First, your coefficient should have a minus.

Second, why do you think your answer and the answer given are different? Just because they look different doesn't mean they are!
 
  • Like
Likes   Reactions: Delta2
Well PeroK is right, doing the calculations it turns out that 5832/3!=116640/5!. However i wonder if your teacher wanted you to do this assignment by manually calculating up to the 7th derivative of 8x^2sin(9x) and evaluating the derivatives at 0.
 
Delta² said:
Well PeroK is right, doing the calculations it turns out that 5832/3!=116640/5!. However i wonder if your teacher wanted you to do this assignment by manually calculating up to the 7th derivative of 8x^2sin(9x) and evaluating the derivatives at 0.

I suspect that since we have the coefficient of ##x^5##, whoever gave the answer preferred to have ##5!## in the denominator.
 

Similar threads

  • · Replies 4 ·
Replies
4
Views
2K
Replies
1
Views
4K
  • · Replies 8 ·
Replies
8
Views
2K
Replies
5
Views
2K
  • · Replies 3 ·
Replies
3
Views
3K
  • · Replies 12 ·
Replies
12
Views
3K
  • · Replies 7 ·
Replies
7
Views
22K
Replies
23
Views
3K
  • · Replies 15 ·
Replies
15
Views
2K
  • · Replies 10 ·
Replies
10
Views
27K