Question on conservation of energy

Click For Summary

Homework Help Overview

The discussion revolves around a problem involving the conservation of energy in a system with a block on a table and a hanging mass. Participants are exploring the implications of reference points for gravitational potential energy and the effects of friction on energy calculations.

Discussion Character

  • Conceptual clarification, Assumption checking

Approaches and Questions Raised

  • Participants question the choice of reference points for gravitational potential energy and whether multiple reference points can be used for different objects. They also discuss the placement of energy lost due to friction in energy equations.

Discussion Status

The discussion is active, with participants seeking clarification on the concepts of potential energy and friction. Some guidance has been offered regarding the use of reference points and the treatment of nonconservative work, but no consensus has been reached on all points raised.

Contextual Notes

Participants are navigating the rules of the forum regarding homework posting and the use of specific templates, indicating a concern for proper forum etiquette.

oneplusone
Messages
127
Reaction score
2
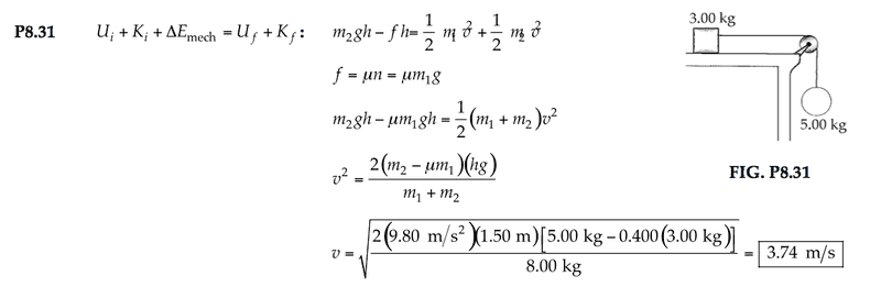
The coefficient of friction between a 3 kg block resting on a flat table, is 0.400. A 5 kg mass is hanging off the table attached to the first mass by a lightweight rope on a frictionless pulley. The system starts at rest. What is the speed of the 5 kg ball when it has fallen 1.5 m.

Solution is attached.


I don't get solution at all. Where are they choosing the reference point for gravity? Can someone just briefly explain. I've been stuck on this for the last half an hour, and am just getting more confused.

Thanks :)

Also, if this is suppose to go in the homework forum (i debated where to put it), please move it there. Sorry in advance.
 

Attachments

  • Screen Shot 2013-10-28 at 6.39.57 PM.png
    Screen Shot 2013-10-28 at 6.39.57 PM.png
    11.9 KB · Views: 490
Physics news on Phys.org
oneplusone said:
The coefficient of friction between a 3 kg block resting on a flat table, is 0.400. A 5 kg mass is hanging off the table attached to the first mass by a lightweight rope on a frictionless pulley. The system starts at rest. What is the speed of the 5 kg ball when it has fallen 1.5 m.

Solution is attached. I don't get solution at all. Where are they choosing the reference point for gravity?

Hopefully you understand a key point about potential energy: that we are free to choose the reference point to be wherever we want. The absolute value of potential energy at a point has no meaning: only differences in potential energy between two points matter. In this case, they've chosen height to be measured relative to the final position of the hanging mass. So, this position is 0 m. That's why there is no Uf term on the right hand side. It's zero. Therefore, when calculating Ui, h = 1.5 m.
oneplusone said:
Can someone just briefly explain. I've been stuck on this for the last half an hour, and am just getting more confused.

Thanks :)

It would help if you were a little more specific about what you didn't understand. The solution is given line-by-line. At which line did you stop following? The whole of the physics content is in the first line (conservation of energy). The first line of the solution says:

(Initial potential energy) - (energy lost due to friction) = final kinetic energy.

That's all the physics content. The rest of the solution is just algebra.

oneplusone said:
Also, if this is suppose to go in the homework forum (i debated where to put it), please move it there. Sorry in advance.

YES, of course it does! Homework threads go in the homework forums, and they must make use of the homework posting template that is provided there. Read the site rules! I've let you off this time, and moved your thread.
 
A few questions (I'm not sure how best to put this in a paragraph);

1] Generally, are you allowed to use two SEPARATE reference points for gravity? Like can you use two different reference points for two different objects? (i guess it doesn't apply in this case-but it could possibly be useful in another).

2] The work done by friction is nonconservative, therefore it goes on the LHS. Is this correct thinking?

Thanks a lot, I think i get it now.
 
1. Usually, we are concerned with *change* in potential energy, which means that reference points are just there to facilitate this calculation. (Yes, if the calculations are independent of each other, you can use different reference points.)

2. An object starts with a certain amount of energy. Over time, if friction is exerted on it, it loses a certain amount of energy due to friction. Therefore, this energy should be placed on the right side of the equation, to be added along with the remaining energy it has and setting this sum equal to how much energy the object started with.
 
re

Thanks, also i saw a problem which used two separate reference points. (see attached).
The tick marks on each side of the triangle represent final/ending points of the the masses. Also each separate mass had it's own reference point. Is this legal to do?
 

Attachments

  • Screen Shot 2013-10-29 at 4.12.24 PM.png
    Screen Shot 2013-10-29 at 4.12.24 PM.png
    6.2 KB · Views: 489
Yes, because the change in potential energies is what the problem deals with. (For example, a ball dropped from 10m off the ground has kinetic energy mg(delta)h where (delta)h = 10 when it reaches the ground. Regardless of where the reference point is, (delta)h will always equal 10 when finding the energy of the ball almost touching the ground)
 

Similar threads

  • · Replies 44 ·
2
Replies
44
Views
4K
Replies
10
Views
3K
  • · Replies 6 ·
Replies
6
Views
2K
  • · Replies 3 ·
Replies
3
Views
1K
  • · Replies 7 ·
Replies
7
Views
2K
  • · Replies 3 ·
Replies
3
Views
2K
Replies
17
Views
2K
Replies
24
Views
4K
  • · Replies 4 ·
Replies
4
Views
1K