Questions about implicit differentiation?

Click For Summary

Discussion Overview

The discussion revolves around the concept of implicit differentiation in calculus. Participants explore the definition of implicit differentiation, its application, and the reasoning behind certain steps in the process, particularly the use of the chain rule when differentiating terms involving the variable "y".

Discussion Character

  • Technical explanation
  • Conceptual clarification
  • Exploratory

Main Points Raised

  • Some participants explain that implicit differentiation is used when one variable is not explicitly defined as a function of another, as seen in equations like ##x^2 + y^2 = 4##.
  • Others clarify that the term "implicit" refers to the relationship between variables where one variable (y) is nested within another function (f), which is not directly expressed as ##y=f(x)##.
  • Several participants mention that when differentiating terms with "y", the chain rule necessitates the multiplication by ##\frac{dy}{dx}## to account for the dependence of y on x.
  • One participant provides a detailed explanation of how to apply the chain rule in the context of implicit differentiation, using the example of differentiating ##y^2##.
  • Another participant emphasizes the importance of the chain rule in deriving the relationship between the derivatives of x and y in implicit differentiation.

Areas of Agreement / Disagreement

Participants generally agree on the definition and application of implicit differentiation, particularly regarding the use of the chain rule. However, there are variations in the explanations and examples provided, indicating a range of understanding and interpretation of the concept.

Contextual Notes

Some explanations may skip steps or assume familiarity with certain calculus concepts, which could lead to misunderstandings for those new to the topic.

EchoRush
Messages
9
Reaction score
1
TL;DR
Quick questions about implicit differentiation.
I am new to calculus. I am doing well in my class. I just have a few questions about implicit differentiation. First, why do we call it "implicit" differentiation?

Also, when we do it, why when we differentiate a term with a "y" in it, why do we have to multiply it by a dY/dX? What does that actually do? What is the point of doing it? Why would it be wrong to not do it?

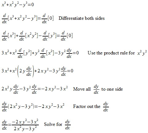
Here is an example in the attached image:
 

Attachments

  • ImpDiff2.png
    ImpDiff2.png
    6.4 KB · Views: 456
Physics news on Phys.org
Implicit differentiation means we have a function ##f\, : \,\mathbb{R}\longrightarrow \mathbb{R}##, say ##y \longmapsto f(y)##. The derivative is ##\dfrac{df}{dy}## and nothing implicit happened up to here. Now what if ##y=g(x)## is itself a function ##g\, : \,\mathbb{R}\longmapsto\mathbb{R}##. Then we have ##x \longmapsto g(x) = y \longmapsto f(y)## and ##\dfrac{df}{dy}## doesn't tell us how ##f## changes with ##x##. So we do some quotient algebra: ##\dfrac{df}{dx} = \dfrac{df}{dy} \cdot \dfrac{dy}{dx} = \dfrac{df}{dy}\cdot \dfrac{dg}{dx}##. The first factor is the derivative of ##f## as we started with, according to the variable ##y##, and the second factor is the derivative of ##y=g(x)## according to the variable ##x##. Together we have ##\dfrac{df}{dx}=f\,'(y)\cdot g'(x)##. It is called implicite, since the function ##y=g(x)## is nested in ##f##. The variable of ##f##, which is ##y##, depends implicitly on the variable ##x## via the function ##g##.
 
EchoRush said:
First, why do we call it "implicit" differentiation?
Because we have an equation in which one variable, say y, is not explicitly given as a function of another variable, say x. For example, in the equation ##x^2 + y^2 = 4## we can treat y as if it were a function of x, even though we have no equation that directly relates x and y; i.e., we don't have a formula that gives a y value for a given x value. That would be an explicit ("explained") relationship between the two variables rather than the implicit ("implied") relationship in the equation I wrote.
EchoRush said:
Also, when we do it, why when we differentiate a term with a "y" in it, why do we have to multiply it by a dY/dX? What does that actually do?
Because of the chain rule.
If I use implicit differentiation with respect to x on the equation I wrote above, we have ##\frac d{dx}(x^2 + y^2) = \frac d{dx}4##, or ##2x + \frac d{dx}(y^2) = 0##.
To get the remaining derivative, use the chain rule like so: ##\frac d{du}u^2 \cdot \frac {du}{dx}##, where ##u = y^2##.
We end up with this equation: ##2x + 2y\frac{dy}{dx} = 0##. If necessary, we can solve for ##\frac{dy}{dx}## algebraically.

I've skipped a few steps, but I hope you are able to follow my explanation.
 
It is called implicit because we are not given an explicit equation ##y=f(x)## which we are able to explicitly differentiate with respect to x. Instead we are given a perplexed equation ##f(x,y)=0## (like ##x^2+y^3x=0## for example) which we can explicitly differentiate the terms involving ##x## (differentiation with respect to ##x## always) and implicitly differentiate the terms involving ##y=y(x)## using the chain rule as follows $$\frac{dg(y(x))}{dx}=\frac{dg(y)}{dy}\frac{dy}{dx}$$
where ##g(y)## is any function of y like ##g(y)=y^3##. I believe the above answers your second question also as to where the term ##\frac{dy}{dx}## comes from. It comes from the application of the chain rule of differentiation.
 

Similar threads

  • · Replies 4 ·
Replies
4
Views
1K
  • · Replies 16 ·
Replies
16
Views
3K
  • · Replies 2 ·
Replies
2
Views
1K
  • · Replies 9 ·
Replies
9
Views
2K
  • · Replies 9 ·
Replies
9
Views
3K
  • · Replies 7 ·
Replies
7
Views
3K
  • · Replies 3 ·
Replies
3
Views
1K
  • · Replies 4 ·
Replies
4
Views
2K
  • · Replies 2 ·
Replies
2
Views
2K
  • · Replies 11 ·
Replies
11
Views
2K