Radius of a Circle: Solving Negative Equations

  • Thread starter Thread starter chemic_23
  • Start date Start date
  • Tags Tags
    Circle Radius
Click For Summary
SUMMARY

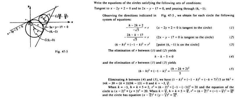
The discussion focuses on solving negative equations related to the radius of a circle, specifically addressing the confusion around the negative signs in the equations h-2k+2 and 2h-k-17. The center of the circle is determined to lie between two tangents, necessitating that the constant C in the tangent equation be positive to accurately calculate the perpendicular distances. This clarification is essential for understanding the geometric implications of the equations involved.

PREREQUISITES
  • Understanding of circle equations in coordinate geometry
  • Familiarity with tangent lines and their properties
  • Knowledge of solving quadratic equations
  • Basic algebraic manipulation skills
NEXT STEPS
  • Study the properties of tangents to circles in coordinate geometry
  • Learn about the derivation of the standard form of a circle's equation
  • Explore methods for solving quadratic equations involving negative constants
  • Investigate the geometric interpretation of circle equations and their tangents
USEFUL FOR

Students studying geometry, mathematics educators, and anyone seeking to deepen their understanding of circle equations and tangent properties.

chemic_23
Messages
44
Reaction score
0

Homework Statement



circle.jpg


Homework Equations



Why is there negative on h-2k+2?and a denominator of negative square root of 5?
also in 2h-k-17, it has a negative sign but the denominator is not negative square root of 5? I really don't understand this part... please explain :frown:
part1.jpg


The Attempt at a Solution

 
Physics news on Phys.org
In this problem center of the circle lies between the two tangents. In such cases, to find the perpendicular distances, you have to make the constant C in the tangent positive.
 

Similar threads

  • · Replies 62 ·
3
Replies
62
Views
11K
  • · Replies 11 ·
Replies
11
Views
3K
  • · Replies 16 ·
Replies
16
Views
2K
  • · Replies 21 ·
Replies
21
Views
4K
Replies
6
Views
4K
Replies
5
Views
2K
  • · Replies 12 ·
Replies
12
Views
3K
  • · Replies 48 ·
2
Replies
48
Views
6K
Replies
6
Views
2K
  • · Replies 2 ·
Replies
2
Views
3K