Ratio Test vs AST

Click For Summary

Homework Help Overview

The discussion revolves around determining the interval of convergence for a given power series, specifically analyzing the results from the ratio test and the alternating series test (AST). Participants are exploring the implications of their findings and the behavior of the series at specific points.

Discussion Character

  • Exploratory, Assumption checking, Problem interpretation

Approaches and Questions Raised

  • The original poster attempts to apply both the ratio test and AST to understand the convergence of the series at the endpoint x=18, questioning their conclusions based on the limits obtained. Other participants discuss the importance of careful step-by-step analysis in mathematical reasoning.

Discussion Status

Participants are actively engaging with the problem, with some providing insights into the convergence behavior of the series at specific values. There is recognition of the need for careful review of each step in the calculations, though no consensus has been reached on the interpretation of the results.

Contextual Notes

There are references to specific values and limits that are critical to the discussion, including the behavior of the series at x=18 and the implications of the tests used. The original poster expresses confusion regarding the application of the tests, indicating potential gaps in understanding the series' behavior.

cherry
Messages
25
Reaction score
6
Homework Statement
Find the interval of convergence for the given power series.
Relevant Equations
N/A
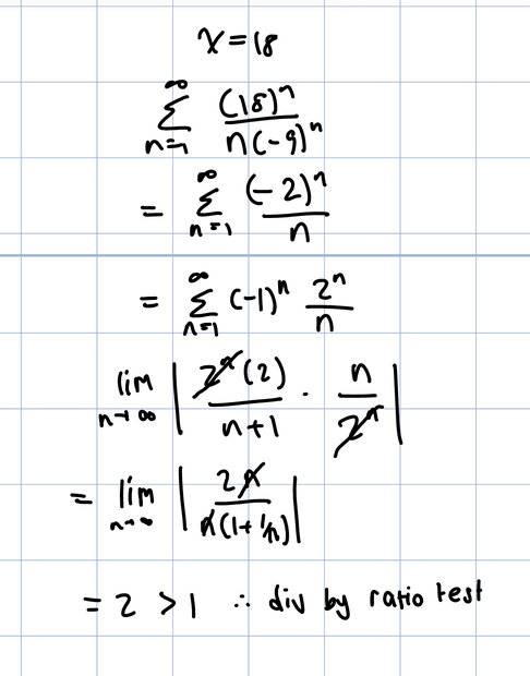
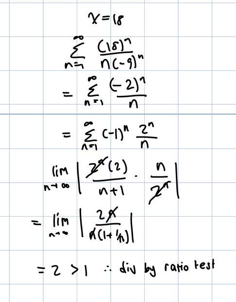
Hi, I'm having difficulty understanding why the interval of convergence is (0, 18].
When I tested x=18, I got the following conclusion using the ratio test.
IMG_65D89D7F1999-1.jpeg


When I attempt using AST, the function still diverges as the lim (n -> inf) = 2^n / n ≠ 0.
What am I missing?

Thanks!
 

Attachments

  • Screenshot 2024-05-05 at 2.05.27 PM.png
    Screenshot 2024-05-05 at 2.05.27 PM.png
    11.1 KB · Views: 99
Physics news on Phys.org
cherry said:
Homework Statement: Find the interval of convergence for the given power series.
Relevant Equations: N/A

Hi, I'm having difficulty understanding why the interval of convergence is (0, 18].
When I tested x=18, I got the following conclusion using the ratio test.
View attachment 344579

When I attempt using AST, the function still diverges as the lim (n -> inf) = 2^n / n ≠ 0.
What am I missing?

Thanks!
The series is this:
$$\sum_{n = 1}^\infty \frac{(x - 9)^n}{n(-9)^n}$$
When you substitute x = 18, the numerator is not ##18^n##.
 
Mark44 said:
The series is this:
$$\sum_{n = 1}^\infty \frac{(x - 9)^n}{n(-9)^n}$$
When you substitute x = 18, the numerator is not ##18^n##.
Oh my gosh, thank you!
 
One of the most important things to learn from mathematics is to be careful about each step. It is definitely a learning process. Mathematics is one subject where you need to get a long string of steps correct to get the right answer, and it is fairly unique in that respect. Also, when you are thinking about the hard steps, it is often the easy ones where mistakes occur. So you should make it a habit to review your work with as much attention to the easy steps as you give to the hard steps.
 
It's a power series at the point ##a=9## whose radius of convergence ##R## is given by
[tex] \frac{1}{R} = \limsup _n \frac{1}{\sqrt[n]{n9^n}} = \frac{1}{9}.[/tex]
Hence, interval of convergence contains ##(0,18)##. For ##x=18## we get ## \sum \frac{(-1)^n}{n} ##, which converges. For ##x=0## we get divergence. So the interval of convergence is ##(0,18]##.
 

Similar threads

  • · Replies 2 ·
Replies
2
Views
2K
  • · Replies 4 ·
Replies
4
Views
1K
  • · Replies 2 ·
Replies
2
Views
2K
  • · Replies 1 ·
Replies
1
Views
2K
  • · Replies 3 ·
Replies
3
Views
2K
  • · Replies 5 ·
Replies
5
Views
2K
  • · Replies 2 ·
Replies
2
Views
1K
  • · Replies 7 ·
Replies
7
Views
3K
  • · Replies 7 ·
Replies
7
Views
2K
Replies
2
Views
1K