Rectilinear motion, not uniform accleration

Click For Summary

Homework Help Overview

The discussion revolves around a problem in rectilinear motion involving non-uniform acceleration, specifically characterized by the force equation F = -b exp(αv). Participants are exploring how to express velocity and acceleration as functions of time, while grappling with the complexities of differentiating and integrating the given equation.

Discussion Character

  • Exploratory, Mathematical reasoning, Assumption checking

Approaches and Questions Raised

  • The original poster attempts to differentiate and integrate the force equation but finds the process increasingly complicated. They question how to approach the problem effectively. Some participants suggest rewriting the acceleration in terms of velocity and time, while others discuss the implications of treating velocity as a function of time during integration.

Discussion Status

Participants are actively engaging with the problem, offering guidance on rewriting the equations and discussing integration techniques. There is a recognition of the challenges posed by the relationship between velocity and time, and some participants have indicated progress in their understanding without reaching a definitive solution.

Contextual Notes

There are mentions of guidelines regarding posting formats, and some participants express concerns about the complexity of the problem and the relationship between variables. The discussion reflects a mix of interpretations and approaches to the problem at hand.

Terrycho
Messages
20
Reaction score
2
Homework Statement
A boat of mass m with initial velocity v_o is slowed by a frictional force
F=-bexp(αv), α and b are positive constants .
Relevant Equations
F=-bexp(αv)
241315


The photo above is the problem I'm struggling now and the photo below is what I have done so far.

241316


By differentiating and integrating the given equation, which is F=-b exp(αv), I tried to express v(t) or a(t) as a function related to t, which is time.

But the more I did, the more complicated it got...

Force is related to the velocity so when you differentiate it, the acceleration function about t comes out so you cannot just express its motion.

How was I supposed to approach this problem to?

Look forward to hearing from you guys.
Thanks a lot!

If this posts makes any inconvenience or you offended, I will delete it right away.

No matter how long comments are, any comments would be appreciated!
 
Physics news on Phys.org
Hello terycho, ##\qquad## :welcome: ##\qquad## !

Do us a favor and read the guidelines on posting photos. If you promise to type instead of snap I'll try to help:

Don't understand your first step: you multiply with ##e^{-v(0)}\ ## on one side only: no can do.

Your second step doesn't help you, as you conclude yourself.

If you rewrite ##\ a(t) = - {b\over m} e^{\alpha v} \ ## as ##\ {dv\over dt} = - {b\over m} e^{\alpha v} \ ## does it look a bit more familiar ?
Do you know how to solve this kind of differential equation ?
(hit: think chain rule for differentiation)
 
BvU said:
Hello terycho, ##\qquad## :welcome: ##\qquad## !

Do us a favor and read the guidelines on posting photos. If you promise to type instead of snap I'll try to help:

Don't understand your first step: you multiply with ##e^{-v(0)}\ ## on one side only: no can do.

Your second step doesn't help you, as you conclude yourself.

If you rewrite ##\ a(t) = - {b\over m} e^{\alpha v} \ ## as ##\ {dv\over dt} = - {b\over m} e^{\alpha v} \ ## does it look a bit more familiar ?
Do you know how to solve this kind of differential equation ?
(hit: think chain rule for differentiation)
I modified the post and read the guide! Sorry for breaking the rules.. My bad

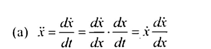
And I know how to solve this kind of equations. We need to use this formula(attached the photo below). I read the formula you rewrote, but isn’t v also related to time? If I move dv to the right and do integration , it gets much more complexed since v is also the function related to time
 

Attachments

  • 0B93A057-A8DF-4FCC-A523-6ADAF7B1FEBA.jpeg
    0B93A057-A8DF-4FCC-A523-6ADAF7B1FEBA.jpeg
    7.4 KB · Views: 382
Last edited:
Terrycho said:
I modified the post and read the guide! Sorry for breaking the rules.. My bad

And I know how to solve this kind of equations. We need to use this formula(attached the photo below). I read the formula you rewrote, but isn’t v also related to time? If I move dv to the right and do integration , it gets much more complexed since v is also the function related to time
You don't "move" anything, especially you can't move ## dv ##.

Use the form of the equation suggested by @BvU . ##\displaystyle \quad \ {dv\over dt} = - {b\over m} e^{\alpha v} ##

Divide both sides by ## e^{\alpha v} ## and integrate with respect to ##t## .

Note that ##\displaystyle \int f(v(t)) \frac{dv}{dt} dt = \int f(v) dv \ \ \ ## (Integration by substitution)
 
  • Like
Likes   Reactions: Terrycho
SammyS said:
You don't "move" anything, especially you can't move ## dv ##.

Use the form of the equation suggested by @BvU . ##\displaystyle \quad \ {dv\over dt} = - {b\over m} e^{\alpha v} ##

Divide both sides by ## e^{\alpha v} ## and integrate with respect to ##t## .

Note that ##\displaystyle \int f(v(t)) \frac{dv}{dt} dt = \int f(v) dv \ \ \ ## (Integration by substitution)
I didn’t think of dividing both sides by e^(av). I solved this problem! Thanks a lot!
 
Terrycho said:
I modified the post and read the guide! Sorry for breaking the rules.. My bad

And I know how to solve this kind of equations. We need to use this formula(attached the photo below). I read the formula you rewrote, but isn’t v also related to time? If I move dv to the right and do integration , it gets much more complexed since v is also the function related to time
I solved it! Thanks!
 
Terrycho said:
...
And I know how to solve this kind of equations. We need to use this formula(attached the photo below). I read the formula you rewrote, but isn’t v also related to time?
Your image →
0b93a057-a8df-4fcc-a523-6adaf7b1feba-jpeg.jpg


This formula is useful in the case where acceleration is given as some function of position or velocity, and in some cases both.

In your case it can be used to to find velocity as a function of position.

The equation ##\
\displaystyle \quad \ {dv\over dt} = - {b\over m} e^{\alpha v} \
## can be written as:

## \displaystyle \quad \ v{dv\over dx} = - {b\over m} e^{\alpha v} ##​

Dividing by ##\ e^{\alpha v} \ ## and integrating with respect to position, ##x## give the following,

## \displaystyle \int v \ e^{-\alpha v} \left({dv\over dx}\right) dx = - \int {b\over m} dx ##
 

Similar threads

Replies
2
Views
2K
  • · Replies 20 ·
Replies
20
Views
2K
  • · Replies 6 ·
Replies
6
Views
2K
Replies
25
Views
1K
  • · Replies 4 ·
Replies
4
Views
3K
Replies
11
Views
3K
Replies
19
Views
3K
Replies
10
Views
5K
  • · Replies 10 ·
Replies
10
Views
3K
  • · Replies 3 ·
Replies
3
Views
2K