mathmari
Gold Member
MHB
- 4,984
- 7
Hey! 
I am looking at the following:
The Turing table of the following modified Turing machine is given:
View attachment 9297
Change this into an ordinary "Turing machine" (i.e., one that either writes or moves the head). Give the appropriate Turing table.
Give also the Turing table of an equivalent (unmodified) Turing machine with at most eight states and justify the equivalence. Could you give me a hint how we could do that? I don't really have an idea. (Wondering)
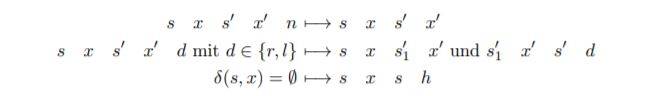
I am looking at the following:
The Turing table of the following modified Turing machine is given:
View attachment 9297
Change this into an ordinary "Turing machine" (i.e., one that either writes or moves the head). Give the appropriate Turing table.
Give also the Turing table of an equivalent (unmodified) Turing machine with at most eight states and justify the equivalence. Could you give me a hint how we could do that? I don't really have an idea. (Wondering)