Relationship between inverse matrix and inertia tensor?

Click For Summary
SUMMARY

The discussion centers on the relationship between the inverse of a matrix and the inertia tensor in physics and engineering contexts. Participants confirm that the inverse of the inertia tensor is indeed relevant for calculating rotational dynamics. The determinant of the inertia tensor is also discussed, emphasizing its importance in stability analysis. Key tools mentioned include matrix algebra and tensor calculus.

PREREQUISITES
  • Matrix algebra
  • Inertia tensor concepts
  • Tensor calculus
  • Determinants in linear algebra
NEXT STEPS
  • Research the properties of the inertia tensor in rigid body dynamics
  • Learn about the calculation of the inverse of matrices in engineering applications
  • Study the significance of determinants in stability analysis
  • Explore advanced topics in tensor calculus
USEFUL FOR

Mechanical engineers, physicists, and students studying dynamics and linear algebra will benefit from this discussion, particularly those focused on rotational motion and stability analysis.

Bruno Tolentino
Messages
96
Reaction score
0
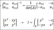
Seems exist some relationship between the inverse of a matrix with the inertia tensor, looks:

AAAAAAAAAAA.jpg


This relationship really exist?
 
Physics news on Phys.org
What's the determinant of that matrix?
 
I think that we knows what's...
 

Similar threads

  • · Replies 8 ·
Replies
8
Views
3K
  • · Replies 5 ·
Replies
5
Views
4K
  • · Replies 8 ·
Replies
8
Views
3K
  • · Replies 2 ·
Replies
2
Views
3K
  • · Replies 2 ·
Replies
2
Views
2K
  • · Replies 1 ·
Replies
1
Views
4K
  • · Replies 34 ·
2
Replies
34
Views
3K
  • · Replies 1 ·
Replies
1
Views
2K
  • · Replies 5 ·
Replies
5
Views
2K
  • · Replies 2 ·
Replies
2
Views
1K