Resistance of wires in parallel

Click For Summary

Homework Help Overview

The discussion revolves around the resistance of wires in parallel, specifically in the context of a car's rear defrosters made of multiple wires. The original poster presents a problem involving the calculation of the cross-sectional area of each wire based on given parameters such as resistivity, length, and the melting of ice.

Discussion Character

  • Conceptual clarification, Assumption checking

Approaches and Questions Raised

  • Participants explore the formula for total resistance in parallel circuits, questioning the instructor's approach to calculating total resistance. There is a discussion about whether the total resistance should be expressed as Rtotal = R/13 or Rtotal = R^12/13, with references to standard equations for parallel resistors.

Discussion Status

The discussion is ongoing, with participants expressing differing views on the correct formula for total resistance in this scenario. Some participants suggest that the instructor's solution may contain an error, while others are considering the implications of the calculations presented.

Contextual Notes

Participants are working under the constraints of a homework assignment, which may limit the information available for resolving the discussion. There is an emphasis on understanding the underlying principles rather than arriving at a definitive solution.

Cataklyzm
Messages
9
Reaction score
0

Homework Statement


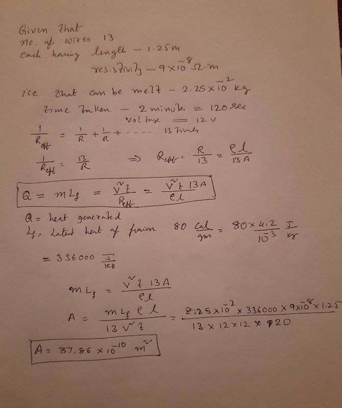
My car has rear defrosters that are made of 13 wires embedded into the rear window. They can melt a thin layer of ice, roughly 2.25*10^-2 kg worth, in two minutes. These wires are all in parallel and are connected to the 12V battery of my car. Each is about 1.25m long and has a resistivity of 9.00*10^-8 Ω*m. What is the cross sectional area of each wire?


Homework Equations


R=ρL/A
Q=mLf
P=Q/t


The Attempt at a Solution


So, I submitted this homework a while back. My instructor finally posted solutions. In the solutions, he has written Rtotal=[itex]\frac{R^{12}}{13}[/itex], which he uses throughout his solution. My question is: why would the resistances be multiplicative? My thought is it would look like this: Rtotal=[itex]\frac{R}{13}[/itex]. Thank you for your time.
 
Physics news on Phys.org
I agree with you about Rtotal = R/13 if R is the resistance of each wire.

Perhaps post his whole solution?
 
Here's his solution:
 

Attachments

  • soln.jpg
    soln.jpg
    23.3 KB · Views: 565
I still think you are right. It should be just the standard equation for resistors in parallel ..

Rtotal = 1/(1/R1 + 1/R2... +1/Rn)

If R1 = R2 = RN = R

then

Rtotal = 1/(13/R) = R/13

Simples.
 
I haven't worked through the rest of the problem but I'm surprised using R13 gives a reasonable answer.

Time for bed here.
 
My solution to problem.
Attachment
 

Attachments

  • 20200422_220207.jpg
    20200422_220207.jpg
    37.6 KB · Views: 144
Cataklyzm said:
Here's his solution:
This is an old thread, but it's interesting and instructive to find the error by the instructor...

1587574818672.png
 

Similar threads

Replies
6
Views
2K
  • · Replies 7 ·
Replies
7
Views
2K
Replies
4
Views
2K
  • · Replies 2 ·
Replies
2
Views
2K
Replies
2
Views
3K
  • · Replies 1 ·
Replies
1
Views
2K
  • · Replies 7 ·
Replies
7
Views
5K
  • · Replies 1 ·
Replies
1
Views
3K
  • · Replies 14 ·
Replies
14
Views
2K
  • · Replies 1 ·
Replies
1
Views
1K