Resolve Forces Homework: Magnitude & Direction

Click For Summary
SUMMARY

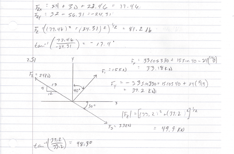
The discussion focuses on resolving forces in a physics homework problem, specifically calculating the magnitude and direction of resultant forces using vector components. The user encountered issues with their calculations on masteringengineering.com, particularly with the net force in the x-direction (Fnet, x) and the correct application of the sine function for F3y. The inclusion of the negative sign in the calculation was crucial for arriving at the correct answer, demonstrating the importance of attention to detail in vector resolution.

PREREQUISITES
  • Understanding of vector resolution in physics
  • Familiarity with trigonometric functions, specifically sine and cosine
  • Knowledge of force components and net force calculations
  • Experience using online platforms like masteringengineering.com for homework
NEXT STEPS
  • Review vector resolution techniques in physics
  • Study the application of trigonometric functions in force calculations
  • Practice problems involving net force calculations in two dimensions
  • Explore common pitfalls in using online homework systems like masteringengineering.com
USEFUL FOR

Students studying physics, particularly those tackling problems related to forces and vector resolution, as well as educators looking to assist learners with common calculation errors.

Robb
Messages
225
Reaction score
8

Homework Statement


Determine the magnitude of the resultant forces and direction of the resultant as measured clockwise from the positive x axis.

Homework Equations

The Attempt at a Solution


Please help. I have entered my answers into masteringengineering.com and it keeps telling me my answers are wrong. Not sure why?

[/B]
upload_2016-9-17_12-30-59.png
 

Attachments

  • upload_2016-9-17_12-26-23.png
    upload_2016-9-17_12-26-23.png
    42.1 KB · Views: 485
  • upload_2016-9-17_12-27-50.png
    upload_2016-9-17_12-27-50.png
    71.9 KB · Views: 460
Physics news on Phys.org
Your setup for Fnet, x looks right, but I get a different numerical result for Fnet, x.

For F3y you have -33 sin (330). Should you include the negative sign in front of 33?
 
Good point with the negative sign! I got the answer now. Muchas gracias muchachos!
 

Similar threads

  • · Replies 18 ·
Replies
18
Views
3K
  • · Replies 4 ·
Replies
4
Views
4K
Replies
4
Views
952
  • · Replies 5 ·
Replies
5
Views
3K
Replies
6
Views
2K
  • · Replies 79 ·
3
Replies
79
Views
7K
  • · Replies 10 ·
Replies
10
Views
2K
  • · Replies 8 ·
Replies
8
Views
2K
  • · Replies 4 ·
Replies
4
Views
2K
  • · Replies 7 ·
Replies
7
Views
2K